

GB/T 2900.1-2008 電工術語 基本術語 3.1.9定義,算術平均值指在規定時間間隔內一個量的各瞬時值的平均值。對于周期量,時間間隔為一個周期。算術平均值有時簡稱為均值或算術均值。
對于n個量X1,X2,……,Xn,算術平均值等于各量之和除以n的商:
![]()
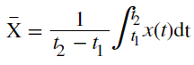
對于依賴于一個變量的量,算術平均值等于在該變量的兩個給定值之間的積分除以此值之差的商:

幾何平均數(geometric mean)是指n個觀察值連乘積的n次方根。

幾何平均值是相對于正數而言的,也就是說上面的X1,X2,..Xn必須是正數。
校準平均值定義是:修正值平均值也稱校準到有效值的整流平均值,簡稱校準平均值(mean)。顧名思義,就是將整流平均值乘以一個系數,使其結果等于該信號的有效值。
正弦波的波形因數為π/2√2≈1.1107。
校準平均值≈1.1107*整流平均值。
由于其修正系數的基于正弦波獲取的,校準平均值等于有效值只有在被測信號為正弦波時才成立。所以該方法不能適用于所有信號。因此,采用均值檢波法的萬用表,不能用于測量非正弦波的有效值。
加權平均值即將各數值乘以相應的權數,然后加總求和得到總體值,再除以總的單位數。
設原始數據為被分成K組,各組的組中的值為X1,X2,...,Xk,各組的頻數分別為f1,f2,...,fk,加權算術平均數的計算公式為:
![]()
平均數的大小不僅取決于總體中各單位的標志值(變量值)的大小,而且取決于各標志值出現的次數(頻數),由于各標志值出現的次數對其在平均數中的影響起著權衡輕重的作用,因此叫做權數。主要用于處理經分組整理的數據。
例如:
平時測驗 80, 期中 90, 期末 95
學校規定的科目成績的計算方式是:
平時測驗占 20%
期中成績占 30%
期末成績占 50%
這里,每個成績所占的比重叫做權重。
那么,加權平均值 =( 80*20% + 90*30% + 95*50% )/(20%+30%+50%)=90.5;
調和平均數(harmonic mean)又稱倒數平均數,是總體各統計變量倒數的算術平均數的倒數。調和平均數是平均數的一種。但統計調和平均數,與數學調和平均數不同,它是變量倒數的算術平均數的倒數。由于它是根據變量的倒數計算的,所以又稱倒數平均數。調和平均數也有簡單調和平均數和加權調和平均數兩種。
簡單調和平均數是算術平均數的變形,它的計算公式如下:
![]()
加權調和平均數是加權算術平均數的變形。它與加權算術平均數在實質上是相同的,而僅有形式上的區別,即表現為變量對稱的區別、權數對稱的區別和計算位置對稱的區別。因而其計算公式為:
