

光纖陀螺儀的實現主要基于塞格尼克理論:當光束在一個環形的通道中前進時,如果環形通道本身具有一個轉動速度,那么光線沿著通道轉動的方向前進所需要的時間要比沿著這個通道轉動相反的方向前進所需要的時間要多。也就是說當光學環路轉動時,在不同的前進方向上,光學環路的光程相對于環路在靜止時的光程都會產生變化。利用光程的變化,檢測出兩條光路的相位差或干涉條紋的變化,就可以測出光路旋轉角速度,這便是光纖陀螺儀的工作原理。

圖示:光纖陀螺儀基本結構圖
Sagnac效應

理想環形光路系統中sagnac效應
(a)系統靜止(b)系統旋轉
理想條件下,環形光路系統中的Sagnac效應如上圖所示。一束光經分束器M進入同一光學回路中,分成完全相同的兩束光Ccw和Cccw,分別沿著順時針方向(CW)和逆時針方向(CCW)相向傳播,當回路繞垂直于自身的軸轉動時,將使兩束光產生相位差,該相位差的大小與光回路的旋轉速率成比例。
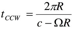
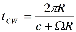
如圖(a)所示,在無旋轉條件下,兩束光傳輸時間相等為

如圖(b)所示,ω旋轉條件下


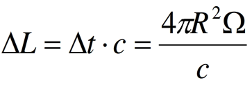
傳輸時間差

傳輸光程差

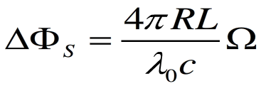
傳輸相位差

01按原理上分類
可以分為:干涉式、諧振式和光纖型環型激光陀螺儀。
干涉式光纖陀螺儀(I—FOG),即第一代光纖陀螺儀,目前應用最廣泛。它采用多匝光纖圈來增強SAGNAC效應,一個由多匝單模光纖線圈構成的雙光束環形干涉儀可提供較高的精度,也勢必會使整體結構更加復雜;按照光路的組成干涉式光纖陀螺儀又可以分為:消偏型、全光纖型和集成光學型。
諧振式光纖陀螺儀(R-FOG)是第二代光纖陀螺儀,采用環形諧振腔增強SAGNAC效應,利用循環傳播提高精度,因此它可以采用較短光纖。R—FOG需要采用強相干光源來增強諧振腔的諧振效應,但強相干光源也帶來許多寄生效應,如何消除這些寄生效應是目前的主要技術障礙;按照光路的組成諧振式光纖陀螺儀又可以分為:全光纖型和集成光學型。
受激布里淵散射光纖陀螺儀(B-FOG),第三代光纖陀螺儀比前兩代又有改進,目前還處于理論研究階段。是一種利用光纖環形腔中的受激布里淵散射的方向性增益效應來實現利用Sagnet效應檢測諧振速率,其原理與激光陀螺儀完全相似。由于無需復雜的調制解調檢測技術,國際上倍受重視。
02按光學系統的構成
集成光學型和全光纖型光纖陀螺儀。
03按結構
單軸和多軸光纖陀螺儀。
04按回路類型
開環光纖陀螺儀和閉環光纖陀螺儀。
與機電陀螺或激光陀螺相比,光纖陀螺儀具有如下特點:
1) 零部件少,沒有旋轉部件和摩擦部件,儀器牢固穩定,具有較強的抗沖擊和抗加速運動的能力;
2) 繞制的光纖較長,使檢測靈敏度和分辨率比激光陀螺儀提高了好幾個數量級;
3) 無機械傳動部件,不存在磨損問題,因而具有較長的使用壽命;
4) 易于采用集成光路技術,信號穩定,且可直接用數字輸出,并與計算機接口聯接;
5) 通過改變光纖的長度或光在線圈中的循環傳播次數,可以實現不同的精度,并具有較寬的動態范圍;
6) 相干光束的傳播時間短,因而原理上可瞬間啟動,無需預熱;
7) 可與環形激光陀螺一起使用,構成各種慣導系統的傳感器,尤其是捷聯式慣導系統的傳感器;
8) 結構簡單、價格低,體積小、重量輕。
光纖陀螺儀自1976年問世以來,得到了極大的發展。但是,光纖陀螺儀在技術上還存在一系列問題,這些問題影響了光纖陀螺儀的精度和穩定性,進而限制了其應用的廣泛性。主要包括
(1) 溫度瞬態的影響
理論上,環形干涉儀中的兩個反向傳播光路是等長的,但是這僅在系統不隨時間變化時才嚴格成立。實驗證明,相位誤差以及旋轉速率測量值的漂移與溫度的時間導數成正比.這是十分有害的,特別是在預熱期間。
(2) 振動的影響
振動也會對測量產生影響,必須采用適當的封裝以確保線圈良好的堅固性,內部機械設計必須十分合理,防止產生共振現象。
(3) 偏振的影響
現在應用比較多的單模光纖是一種雙偏振模式的光纖,光纖的雙折射會產生一個寄生相位差,因此需要偏振濾波。消偏光纖可以抑制偏振,但是卻會導致成本的增加。
● 戰略導彈系統和潛艇導航應用
● 衛星定向和追蹤
● 戰術武器制導與控制系統
● 各種運載火箭應用
● 姿態/航向基準系統
● 艦船、導彈和民用飛機的慣性導航
● 陸地導航系統
● 天體觀測望遠鏡的穩定和調向
● 汽車導航儀、天線/攝像機的穩定、石油鉆井定向、機器人控制、各種極限作業的控制等工業和民用領域
光纖陀螺技術水平和應用狀況表

上表摘錄自——蔡青-保偏光纖溫度特性研究(中國光學學會光電技術委員會展望光電技術發展趨勢研討論文集)
未來光纖陀螺儀的發展將著重于以下幾個方面:
1) 高精度。更高的精度是光纖陀螺儀取代激光陀螺在高等導航中地位的必然要求,目前高精度的光纖陀螺儀技術還沒有完全成熟。
2) 高穩定性和抗干擾性。長期的高穩定性也是光纖陀螺儀的發展方向之一,能夠在惡劣的環境下保持較長時間內的導航精度是慣導系統對陀螺的要求。比如在高溫、強震、強磁場等情況下,光纖陀螺儀也必須有足夠的精度才能滿足用戶的要求。
3) 產品多元化。開發不同精度、面向不同需求的產品是十分必要的。不同的用戶對導航精度有不同的要求,而光纖陀螺儀結構簡單,改變精度時只需調整線圈的長度直徑。在這方面具有超越機械陀螺和激光陀螺的優勢,它的不同精度產品更容易實現,這是光纖陀螺儀實用化的必然要求。
4) 生產規模化。成本的降低也是光纖陀螺儀能夠為用戶所接受的前提條件之一。各類元件的生產規模化可以有力地促進生產成本的降低,對于中低精度的光纖陀螺儀尤為如此。
上一篇:電動汽車DC/DC變換器
下一篇:充電樁