

01一般檢查(目測)
主要檢查充電機外殼有無凹凸、劃傷等缺陷;結構件是否牢固,有無毛刺、銹跡、裂紋等;所有銘牌標示是否正確安裝、內容是否正確、字跡是否清晰。
02輸出電壓誤差試驗
充電樁連接負載,設定恒壓狀態運行,輸入額定電壓,設置輸出電壓在輸出電壓范圍內,調整負載輸出電流為50%額定電流,分別測量充電樁輸出電壓Uz。輸出電壓誤差不應超過±0.5%。
測得的輸出電壓誤差按下列公式計算:

式中:
△U——輸出電壓誤差;
Uz——交流輸入電壓為額定值且負載電流為50%的額定輸出電流時,輸出電壓的測量值;
Uz——設定的輸出電壓整定值。
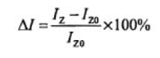
03輸出電流誤差試驗
充電樁連接負載,設置在恒流狀態下運行,輸入電壓設定為額定值,設定輸出電流在20%~100%額定輸出電流范圍內,調整輸出電壓在上、下限范圍內的中間值,分別測量充電樁的輸出電流Iz。在充電樁設定的輸出電流整定值≥30A時,輸出電流誤差不應超過±1%;在充電樁設定的輸出電流整定值<30A,輸出電流誤差不應超過±0.3A。
測得輸出電流誤差按下列公式計算:

式中:
△I——輸出電流誤差;
Iz——交流輸入電壓為額定值且輸出電壓在上、下限范圍內的中間值時,輸出電流的測量值;
Iz0——設定的輸出電流整定值。
04穩壓精度試驗
充電樁連接負載,并設置在恒壓狀態下運行,設定輸出電壓整定值,調整輸入電壓分別在85%、100%、115%額定值時,調整負載電流為0~100%額定輸出電流值,分別測量充電機的輸出電壓,找出上述變化范圍內充電機輸出電壓的極限值UM。在上、下限范圍內改變輸出電壓整定值,多次測量。穩壓精度不應超過±0.5%。
測得穩壓精度按下式計算:

σu——穩壓精度;
Uz——交流輸入電壓為額定值且負載電流為50%的額定輸出電流,輸出電壓的測量值;
UM——輸出電壓的極限值。
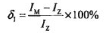
05穩流精度試驗
充電樁連接負載,設置于恒流狀態運行,設定輸出電流整定值,調整輸入電壓分別在85%、100%、115%額定值時,調整輸出電壓在上、下限范圍內,分別測量充電機輸出電流值,找出上述變化范圍內充電電流極限值IM。在20%~100%額定輸出電流值范圍內改變輸出電流的整定值,多次試驗。穩流精度不應超過±1%。
測得的溫流精度按下列公式計算:

式中:
σI——溫流精度;
Iz——交流輸入電壓為額定值且輸出電壓在上、下限范圍內的中間值,輸出電流的測量值;
IM——輸出電流的極限值。
06紋波系數試驗
充電樁連接電阻負載,設置恒壓狀態下運行,設定輸出電壓整定值,調整輸入電壓分別為85%、100%、115%額定值時,調整負載電流為0~100%額定輸出電流值,分別測量直流輸出電壓、輸出電壓的交流分量峰-峰值和有效值。在上下限范圍內改變輸出電壓整定值,重復上述測量。紋波系數試驗用示波器要求:帶寬20MHz,水平掃描速度0.5s/DIV。紋波峰值系數不應超過1%,輸出紋波有效值系數不應超過0.5%。
紋波系數按下列公式計算:


式中:
Xrms——紋波有效值系數;
XPP——紋波峰值系數;
Urms——輸出電壓交流分量有效值;
UPP——輸出電壓交流分量峰-峰值;
UDC——直流輸出電壓平均值。
07效率試驗
充電樁連接負載,設置在恒壓輸出狀態,輸入額定電壓,設定是輸出電壓整定值為上限值,調整負載電流為50%~100%額定輸出電流值,測量充電樁的輸入有功功率和輸出功率;調整充電樁在恒流狀態下運行,輸入額定電壓,設定輸出電流整定值為額定值,在上、下限范圍內改變輸出電壓整定值,再次測量充電樁的輸入有功功率和輸出功率。當充電樁輸出功率為額定功率的50%~100%,效率不應小于90%。
充電效率按下列公式計算:

式中:
η——效率;
Pz——直流輸出功率;
Pj——交流輸入有功功率。
08功率因數試驗
充電樁連接負載,設置工作于恒壓狀態,輸入額定電壓,設定輸出電壓整定值為上限值,調整負載電流為50%~100%額定電流輸出值,測量充電機的輸入功率因數;調整充電機在恒流狀態下運行,輸入額定電壓,設定輸出電流整定值為額定值,在上、下限范圍內改變輸出直流電壓整定值,再次測量充電樁的輸入功率因數。當充電樁輸出功率大于額定功率的50%時,功率因數不應小于0.9,當充電機輸出額定功率時,功率因數應滿足GB/T 29316-2012中表2的要求。
09限壓特性試驗
充電樁連接負載,設置工作在恒流狀態,調整負載使輸出電壓增加,當輸出電壓超過整定值時,充電樁應能自動降低輸出電流值,從而限值輸出直流電壓的增加;當輸出電壓回調到整定值以下時,充電機恢復恒流狀態運行。
10限流特性試驗
充電樁連接負載,并設置在恒壓狀態下運行,調整負載使輸出電流增加,當輸出電流超過整定值時,充電樁應能自動降低輸出電壓值,從而限值輸出直流電流的增加;當輸出電流回調到整定值以下時,充電機恢復恒壓狀態運行。
11顯示功能試驗
充電樁連接上位機管理系統,進行啟停操作,在各種狀態下,檢查充電樁的顯示功能。充電樁能顯示相關信息,顯示字符清晰、完整,沒有缺損。
12輸入功能試驗
手動設置充電機充電參數,檢查充電樁是否正確響應。
13通信功能試驗
充電樁與上位機、電子負載系統通訊,充電樁在充電過程中,應能隨時響應上級監控系統數據召喚和遠程控制,即時獲得充電參數和充電實時數據。
14協議一致性試驗
通過模擬充電樁與電池管理系統的協議一致性測試,充電樁通訊協議應滿足NB/T 33003規定要求。
15輸入過壓保護試驗
充電樁連接負載,并設置在額定負載狀態下運行。調整輸入電源電壓超過輸入過壓保護動作值時,充電樁輸入過壓保護應啟動,立即切斷直流輸出并發出告警提示。輸入過壓保護動作值不應低于115%額定輸入電壓。
16輸入欠壓保護試驗
充電樁連接負載,并設置在額定負載狀態下運行。調整輸入電源電壓低于輸入欠壓保護動作值時,充電機輸入欠壓保護應啟動,立即發出告警提示。輸入欠壓保護動作值不應高于85%額定輸入電壓。
17輸出過壓保護試驗
整定輸出過壓保護動作值,認為模擬充電樁輸出過壓故障,充電樁應立即切斷直流輸出并發出告警提示。
18輸出短路保護試驗
充電樁連接負載,并設置在額定負載狀態下運行。短接充電機的直流輸出端,充電樁應自動進入恒流輸出狀態或切斷直流輸出,并發出告警提示。
19絕緣接地保護試驗
整定絕緣接地保護定值,模擬充電樁直流輸出發生接地故障或絕緣水平下降到絕緣接地保護定值,充電機應能立即切斷直流輸出,并發出告警提示。
20沖擊電流試驗
充電樁連接額定負載,啟動充電樁輸出,用示波器或數據記錄儀檢測充電樁輸入峰值電流,充電樁峰值電流不應超過額定輸入電流的110%。
21軟啟動試驗
充電樁連接額定負載,啟動充電樁輸出,用示波器或數據記錄儀檢測輸出電壓變化曲線,輸出電壓從開始上升至額定穩定時的變化時間應為3S~8S。
22電池反接試驗
模擬動力蓄電池與充電樁輸出正、負反置,啟動充電樁輸出,充電樁應閉鎖直流輸出并發出告警提示。
23連接異常試驗
充電機連接負載,將充電連接裝置中的連接確認觸頭或通信觸頭斷開,進行充電操作,充電樁應閉鎖直流輸出,充電樁設置在額定負載下運行,充電連接裝置中的確認觸頭或通信觸頭斷開,檢查充電樁應立即切斷直流輸出并發出告警提示。
24急停功能試驗
充電樁連接負載,并設置在額定負載狀態下運行,按急停按鈕,充電樁應立即切斷直流輸出。
25控制導引試驗
采用GB/T 20234.3-2011中附錄A控制導引電路的充電樁,按照標準或客戶要求進行控制導引試驗。
26噪聲試驗(需要噪聲測試儀)
充電樁連接負載,并設置在額定負載狀態下穩定運行。在背景噪聲不大于40DB的條件下,距充電樁前、后、左、右水平位置1米處,距地面高度1米~1.5米處測量噪聲,測得的噪聲最大值不應大于65DB。
27溫升試驗
充電樁設置在額定負載狀態下穩定運行,輸入額定電壓,安裝各測點被測元件,使各發熱元件的溫度逐漸升至熱穩定,熱穩定的定義參見GB/T 2421.1-2008中4.8的規定,溫升試驗應滿足下表1所示:

表1:充電轉內部各部件極限溫升
28電擊防護試驗(需配置接地電阻測試儀)
采用直流電橋、接地電阻試驗儀或數字式低阻試驗儀測量,充電樁內任意應該接地的點至總接地之間的電阻不應大于0.1Ω,測量點不應少于3個,如果測量點涂覆防腐漆,需將防腐漆刮去,露出非絕緣材料后在進行試驗,接地端應有明顯標志。
29電氣間隙和爬電距離(手工測量)
用鋼尺或其他測量工具測量充電機規定部位的最小間隙應滿足下表2規定要求:

表2:電氣間隙和爬電距離限值
30絕緣電阻試驗(需配置絕緣電阻測試設備)
充電樁非電氣連接的各帶電回路之間、個獨立帶電回路與地(金屬外殼)之間按下表3規定施加直流電壓,絕緣電阻不小于10MΩ。

表3:絕緣試驗試驗等級
31介電強度試驗(需配置介電強度試驗設備)
充電樁非電氣連接的各帶電回路之間,各獨立帶電回路與地(金屬外殼)之間按表3規定施加1min工頻交流電壓(也可采用直流電壓,試驗電壓為交流電壓有效值的1.4倍),試驗時,充電樁泄露電流值不應大于10mA,試驗部位不應出現絕緣擊穿或閃絡現象。
32沖擊耐壓試驗(需配置沖擊耐壓試驗設備)
在充電樁非電氣連接的各帶電回路之間、各獨立帶電回路與地(金屬外殼)之間按表3規定施加3次正極性和3次負極性標準雷電波的短時沖擊電壓,每次間隙不小于5S,脈沖波形1.2/50us,電源阻抗500Ω,試驗時其他回路和外露的導電部分接地,試驗過程中,試驗部位不應出現擊穿放電,允許出現不導致損壞絕緣的閃絡,如果出現閃絡,則應復查介電強度,介電強度試驗電壓為規定值的75%。
33均流不平衡度試驗(并聯模塊運行充電樁測試項目)
采用模塊并聯運行的充電機應進行均流不平衡試驗,充電樁連接負載,并設置在恒壓狀態下運行,輸入額定電壓,設定輸出電壓整定值,調整負載電流為50%~100%額定電流輸出值,分別測量各模塊輸出電流。在上、下限范圍內改變輸出直流電壓整定值,重復上述測量。斷開充電樁任一個模塊電源后,再次重復上述測量。均流不平衡試驗需要不少于4臺的并聯運行模塊。均流不平衡度不應超過±5%。
均流不平衡度按照下列公式計算:

式中:
β——均流不平衡度;
I——實測模塊輸出電流的極限值;
IP——N個工作模塊輸出電流的平均值;
IN=模塊額定電流值。
上一篇:熱電偶和熱電阻的差別
下一篇:交流充電樁試驗項目