

直流電阻器常作為電阻工作基準器和標準器對其他各等級的電阻進行誤差檢定和標定,同時作為基準器和標準器的直流電阻器的誤差檢定有明確要求。
直流電阻器的基本誤差的檢定是在額定參比條件下進行,根據被檢電阻器的等級指數、標稱值,可采用直接測量法、同標稱值替代法、累計差值法和過渡傳遞法等檢定方法。下面本文主要根據直流電阻器檢定規程介紹直流電阻器誤差檢定的相關方法。
當用比被檢電阻器搞兩個準確度等級的電阻測量儀器或裝置來測量被檢電阻器電阻值時,可采用直接測量法,被檢電阻器Rx的電阻值的檢定結果為:

式中:
Ax——電阻測量儀器示值。
常用的電阻測量儀器或裝置有電橋、電流比較儀、電壓比較儀、數字歐姆表。
當電阻測量儀器或裝置達不到比被檢Rx準確度等級搞出兩個等級,而又有與被檢電阻器Rx同標稱值的電阻標準器Rs時,被檢電阻器電阻值的檢定可采用同標稱值傳遞法。
最常用的同標稱值傳遞法是替代法,替代法是用電阻測量(或比較)儀器依次測量標準電阻器Rs和被檢電阻器Rx的電阻值。檢定結果為:

式中:
As——測量Rs時測量儀器的示值。
常用的電阻比較儀器有電橋、電流比較儀、電壓比較儀、數字歐姆表、電阻比較儀、電位差計等。
具有連續、同標稱值步進的多值電阻器如十進盤電阻器,當具有與其步進值同標稱值且可實現相加連接的電阻標準器Rs或參考電阻器RT時,Rx的檢定可在相應的測量儀器上采用累積差值法進行整體檢定。
被檢十進制盤電阻器

測量儀器與Rx對應的十進測量機構可表示為

檢定程序如下:
a)令j=i+1,b=a+1,并以此取i=0,1,2,…,a
在M上測得

b)令j=i,b=a,并依次取i=0,1,2,…,a
在M上測得

c)整理可得

d)如采用參考電阻器RT代替Rs,可在i=1或i=10時,用同標稱值替代法為RT定值后再按c計算檢定結果。
注意:用M測量Rx時,M必須按a、b兩程序中的關系設置,差值Δ和δ用M尾數或差值測量儀器讀取。
e)常見的電橋、電流比較儀、電壓比較儀、數字歐姆表、電阻比較儀、電位差計等電阻比較、測量儀器均適用于累積差值法。
通過確定Rx與Rs的電阻比值B來實現電阻量值傳遞的方法稱過渡傳遞法。檢定結果為

常用的電阻比的檢定方法由直接測量法、標準量具法。
用作為標準的電阻比測量儀器或裝置直接測量Rx與Rs的電阻比值Bx。測量結果為
式中:

Ax——電阻比測量儀器的示值。
常用的電阻比測量儀器有電流比較儀、電壓比較儀、電橋和某些具有比率測量功能的數字式儀表。
由兩只(或兩組)電阻器組成的、具有已知電阻比值的電阻比例器稱為標準電阻比量具。
常用的電阻比量具有Hamon量具和比例量具,兩只不同標稱值的電阻標準器也可以作標準電阻比量具使用。
用電阻比量具測定電阻比的方法有電阻比較法和比例替代法。
1)電阻比較法
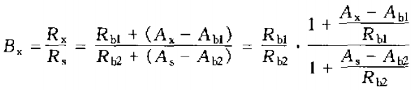
當電阻比量具分別是由于Rx和Rs同標稱值的單只或組合電阻器Rb1和Rb2構成時,可以按同標稱值替代法中要求,通過Rx和Rb1及Rs和Rb2兩組同標稱值的電阻比較確定Bx。程序為
Rx與Rb1比較得

Rs與Rb2比較得

則測量結果為


電阻比較法可適用于Hamon量具和比例量具。
2)比例替代法
Bx可以與具有相同電阻比標稱值的電阻比量具Bs,在電阻比測量儀器或比較儀器上通過電阻比的替代比較求得Bx,測量結果為

式中:
As——測量Bs時,電阻比測量儀器的示值。
除直接測量法中電阻比測量儀器,電阻比較儀也可進行特定比率的電阻比比較。
A.當采用直接測量法、同標稱值替代法和累積差值法檢定標準電阻器時,應滿足如下要求:
a)作為標準的電阻測量儀器,電阻標準器的等級指數Cs應不大于被檢電阻器等級指數Cx的1/3(對電阻基準器、標準器和0.002級及以上等級電阻器)和1/4~1/5(對其他等級電阻器)。
b)作電阻替代比較用的電阻測量儀器引入的誤差應不大于0.1Cx。
c)檢定時靈敏度引入的誤差應≤0.1Cx。
B.用過渡傳遞法檢定電阻器時,應滿足如下要求
a)電阻標準器比A項a)中的標準器高一等級。
b)僅一次過渡傳遞時,由電阻比測量儀器、電阻比連狙以及靈敏度引起的誤差各自應不大于0.1Cx。
c)多次過渡傳遞中,每次傳遞時由電阻比測量儀器、電阻比量具和靈敏度引起的誤差應按比Cx高一等級要求。