

測量儀器的重復性是指在相同的測量條件下,重復測量同一個被測量,測量儀器提供相近示值的能力,一般可用示值的分散性定量地表示。下面本文主要根據JJF測量儀器特性評定相關內容介紹測量儀器重復性評定方法及計算。
在重復性條件下,由被評定測量儀器對給定的約定真值或穩定的被測量進行連續多次的測量或比較,有的情況下則是由提供約定真值的測量儀器對被評定測量儀器進行連續多次的測量,用實驗標準差來表示被評定測量儀器的重復性。重復性條件包括測量程序、人員、儀器、環境等,同時為盡可能保證在相同的條件下進行測量,必須在盡量短的時間內完成重復性測量。
實驗標準差一般用貝塞爾公式計算:

式中:
S——實驗標準差,在此即測量儀器的重復性;
Xi——第i次觀測值,i=1,2,……,n;
X——n次觀測值的算術平均值;
n——測量次數。
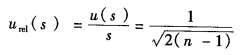
注:用貝塞爾公式計算得到的實驗標注差s是有不確定度的,其相對標準不確定度可表示為

式中:u(s)為實驗標準差s的標準不確定度。
測量次數越多,實驗標準差的不確定度越小,實驗標準差越可靠。例如:測量次數為9,由上式計算得到的實驗標準差的相對標準不確定度為25%,若s=0.10mm,則u(s)=0.025mm。
由每個觀測值與算術平均值之差得到殘差,從殘差中找出最大殘差值,按下式計算實驗標準差

式中:
Vimax——最大殘差值;
Cn——最大殘差系數。
Cn的值根據測量次數n從表1中查得。

表1 最大殘差系數Cn
找出觀測值中的最大值和最小值,兩者之差為極差,按下式計算實驗標準差
式中:
Xmax——觀測值中的最大值;
Xmin——觀測值中的最小值;
dn——極差系數。
dn的值根據測量次數n從表2中查得。

表2 極差系數dn
在測量次數較少時,一般也可采用極差法。
在實際的重復性評定中應當注意用最大殘差法或極差法算得的實驗標準差的不確定度,不大于貝塞爾公式計算得的實驗標準差的不確定度。同時,最大殘差法或極差法只適用于呈正態分布的觀測數據,當分布偏離正態較大時,應采用貝塞爾公式法計算。
上一篇:測量儀器示值誤差描述