

不確定度、準確度、精度這三個名詞在計量研究報告、測試報告及儀器性能說明中經常出現,許多人對這些常見的計量測試名詞含義不清,出現錯用的現象,搞清這些專業術語,了解其本質含義及區別,對從事計量測試的技術人員來說具有重要的現實意義。
不確定度定義為與測量結果相關聯的參數,表征合理地賦予被測量值的分散性。它可以是標準偏差,也可以是說明了置信水平的區間半寬度,經常用標準不確定度、合成不確定度、擴展不確定度來表示。
測量準確度定義為測量結果與被測量真值的一致程度。真值在實際測量中是較難得到的,故準確度只是一個定性的概念,所謂定性意味著可以用準確度的高低、準確度為0.25級、準確度為3級、準確度符號XX標準等說法定性地表示測量質量。
精度是用來表示測量結果中的隨機誤差大小的程度,反映的是在規定條件下各獨立測量結果間的分散性。在測量誤差理論中,精度或精確度常出現,我國長時間以來一直習慣用精度這一名詞,如在儀器性能表示中經常出現這一名詞,它有時指精密度,有時指準確度,比較混亂,在計量測試報告中盡量回避精度這一提法。
準確度或精度是與測量誤差相關聯的,表示的是測量結果與真值的偏離量,因此是一個確定的值,在數軸上表示為一個點。測量不確定度表示被測量之值的分散性,它是以分布區間的半寬度表示的,因此在數軸上是一個區間。
嚴格來說,準確度與精(密)度是有區別的,準確度是測量結果中系統誤差與隨機誤差的綜合表示,是一個定性的概念,而精度是表示測量結果中隨機誤差的大小。一個儀器的精度高,不能就說它的準確度一定高,精度高只說明其測量的隨機誤差小,但是準確度高必須使隨機誤差與系統誤差都小。
測量結果的不確定度表示在重復性或復現性條件下被測量之值的分散性,其大小只與測量方法有關,即測量原理、測量儀器、測量環境條件、測量程序、測量人員、以及數據處理方法等有關,而準確度或精度是與測量誤差有關,而誤差僅與測量結果及真值有關,而與測量方法無關。
對模擬輸出的儀表,主要給出其精度,其形式有兩種,其一是%讀數+%滿量程,如某儀器測量直流電流的精度為0.01%+0.0015%;其二是精度等級,如±0.05%。給定精度,就可以得出單次測量的最大誤差,以某儀器測量直流電流為例,如果所用的電流檔為1A,某次儀表示值讀數為0.5A,則該次測量的最大誤差為
0.5A*0.01%+1A*0.0015%=0.065mA
對數字量輸出的儀表,常以準確度的形式給出,此時的準確度(定量)與前面模擬輸出儀表給出的精度含義相同,其基本形式為:%讀數+X個字,如FLUKE715電壓/毫安(V/mA)校準器給出的電壓測量準確度為0.02%讀數+2個字。
不確定度是以標準不確定度、合成不確定度、擴展不確定度表示的,總體來說,有兩種表現形式,一種是絕對形式,另一種是相對形式。絕對形式表示的不確定度與被測量有相同的量綱,相對形式的不確定度無量綱。被測量x的標準不確定度u(x)和相對標準不確定度urel(x)之間的關系為

式中的x為被測量的真值,常用其約定真值或真值的最佳估值代替。
同樣,擴展不確定度與合成標準不確定度也有絕對形式與相對形式。在計量報告中,測量結果一般以擴展不確定度的形式給出,其一般形式為

式中:y是被測量的最佳估值;U為擴展不確定度;uc(y)為合成標準不確定度;k為包含因子。該式的含義是:被測量的最佳估值是y,由y-U到y+U的區間,包含了能合理賦予y的分布的大部分。
準確度與隨機誤差與系統誤差有關,而精度只與隨機誤差有關,無論是隨機誤差還是系統誤差都與無數次的測量的平均值有關,它們都是理想化的概念,實際只能得到它們的估值,故可可操作性角差。精度的計算過程如下:
測量某值,在相同的情況下連續測量n次(n足夠大),得到的測量值為x1、x2、x3……xn。
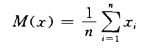
計算測量值的數學期望M(x):

計算測量值的方差δ2(x):

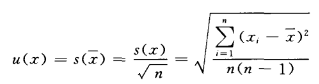
δ(x)是方差的額算數平方根,即標準偏差,其大小反映了精度的高低。
不確定度可以根據實驗、資料、經驗等信息進行評定,是可以定量操作的。標準不確定度的評定方法可分為A類與B類,而擴展不確定度及合成標準不確定度的計算都是建立在標準不確定度的基礎上。
用對被測量重復觀察并根據測量數據進行統計分析的方法來評定標準不確定度,稱為標準不確定度的A類評定方法。常用以下幾種方法:
1) 對被測量X,在同一條件下進行n次重復觀察,觀察值(x1、x2、x3……xn)。則

`X是被測量X的估計值,即測量結果。`X的試驗標準偏差s(`X)即為測量結果的標準不確定度u(x)

2) 對于一個測量過程,若采用核查標準和控制圖的方法使測量過程處于統計控制狀態,則統計控制下測量過程可用合并標準差Sp表征。若每次核查的自由度相同,則

式中:Sp為合并標準偏差,是測量過程長期組內標準偏差的統計平均值;Si為每次核查的樣本標準偏差;P是核查次數。
由該測量過程對被測量X進行n次觀察,其測量結果的標準不確定度為

3) 當被測量X的估計值是由實驗數據用最小二乘法擬合的一條直線或曲線上得到時,任意預期的估計值或表征曲線擬合參數的標準不確定度可以用已知的統計程序計算得到。
當被測量X的估計值不是由重復觀察得到時,標準不確定度的評定就可用B類方法,B類評定主要是利用X的有關信息或資料來評定,包括以前測量的數據、一般的認識、生產廠的技術說明書、檢定證書、測試報告、引用手冊等。具體方法如下:

根據經驗或資料等有關信息,分析判斷被測量可能的區間(-a,a),并假設被測量值的概率分布,由要求的置信水平估計包含因子k,則B類評定的標準不確定度為

上一篇:變頻器開關頻率的影響