

在我們某試驗系統方案設計中,由于數據同步性的要求,需要將我們WP4000變頻功率分析儀的時鐘與客戶的NI系統的時鐘進行同步,對于WP4000變頻功率測試系統而言,多臺分析儀之間可通過同步光纖接口達到嚴格同步,同步時序達us級。但要求WP4000變頻功率測試系統與其它系統之間保持同步,在同步性要求不是特別高的情況下,可以采用NTP時鐘同步的方式進行多系統間的同步,以下就NTP時鐘同步系統誤差進行簡析。
網絡時間協議NTP(Network Time Protocol)的主要開發者是美國特拉華大學的MILLS David L教授設計實現的,由時間協議、ICMP時間戳消息及IP時間戳選項發展而來。NTP用于將計算機客戶或服務器的時間與另一服務器同步,使用層次式時間分布模型。在配置時,NTP可以利用冗余服務器和多條網絡路徑來獲得時間的高準確性和高可靠性。即使客戶機在長時間無法與某一時間服務器相聯系的情況下,仍可提供高準確度時間。
實際應用中,還有確保秒級精度的簡單的網絡時間協議SNTP(Simple Network Time Protocol)。SNTP是NTP的一個子集,主要用于那些不需要NTP的精度以較高實現復雜性的網絡時間同步客戶機。SNTP協議已減少了網絡延時對校對準確的影響,但沒有冗余服務器和校正時鐘頻率誤差功能。
一般的計算機和嵌入式設備在時鐘度方面沒有明確的指標要求, 時鐘精度只有10-4~10-5,每天可能誤差達十幾秒或更多,如果不及時校正,其累積時間誤差不可忽視。許多工業控制過程需要高準確度時間,如:電力系統內眾多的計算機監控系統、保護裝置、故障錄波器等時間同步要在ms級以內。
聯網計算機同步時鐘最簡便的方法是網絡授時。網絡授時分為廣域網授時和局域網授時。廣域網授時精度通常能達50ms級,但有時超過500ms,這是因為每次經過的路由器路徑可能不相同。現在還沒有更好的辦法將這種不同路徑延遲的時間誤差完全消除。局域網授時不存在路由器路徑延遲問題,因而授時精度理論上可以提到亞毫秒級。Windows內置NTP服務,在局域網內其最高授時精度也只能達10ms級。因此,提高局域網NTP授時精度成為一個迫切需要解決的問題。
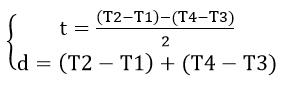
NTP最典型的授時方式是Client/Server方式。如下圖1所示,客戶機首先向服務器發送一個NTP 包,其中包含了該包離開客戶機的時間戳T1,當服務器接收到該包時,依次填入包到達的時間戳T2、包離開的時間戳T3,然后立即把包返回給客戶機。客戶機在接收到響應包時,記錄包返回的時間戳T4。客戶機用上述4個時間參數就能夠計算出2個關鍵參數:NTP包的往返延遲d和客戶機與服務器之間的時鐘偏差t。客戶機使用時鐘偏差來調整本地時鐘,以使其時間與服務器時間一致。

圖1 Client/Server方式下NTP授時原理
圖1中:T1為客戶發送NTP請求時間戳(以客戶時間為參照);T2為服務器收到NTP請求時間戳(以服務器時間為參照);T3為服務器回復NTP請求時間戳(以服務器時間為參照);T4為客戶收到NTP回復包時間戳(以客戶時間為參照);d1為NTP請求包傳送延時,d2為NTP回復包傳送延時;t為服務器和客戶端之間的時間偏差,d為NTP包的往返時間。
現已經T1、T2、T3、T4,希望求得t以調整客戶方時鐘:
....................................................式(1)
假設NPT請求和回復包傳送延時相等,即d1=d2,則可解得“
.....................................式(2)
根據式(1),t也可表示為:t=(T2-T1)+d1=(T2-T1)+d/2.....................式(3)
可以看出,t、d只與T2、T1差值及T3、T4差值相關,而與T2、T3差值無關,即最終的結果與服務器處理請求所需的時間無關。因此,客戶端即可通過T1、T2、T3、T4計算出時差t去調整本地時鐘。
NTP授時精度與NTP服務器與用戶間的網絡狀況有關,主要取決于NTP包往返路由的延時對稱程度,往返路由的延時不對稱值最大不超過網絡延時。式(2)是在假設NTP請求和回復包在網上傳送延時相等,即d1=d2=d/2的情況下得出的,而d1、d2的取值范圍在(0...d)間,由式(3)可以得出最大授時誤差是±d/2。一般廣域網的網絡延時在10 ms~500ms之間;局域網的網絡延時在計時操作系統內核處理延遲的情況下通常小于1ms。
假定局域網內NTP延時小于1ms,理論上授時誤差小于0.5ms,但對于Windows操作系統內置的NTP客戶和NTP服務,并不能達到此精度。Windows NTP時鐘分辨率因操作系統和硬件不同而有所不同,時鐘分辨率通常為10ms或15ms。基于Windows操作系統內置的NTP授時精度最高不超過10ms。
通用PC機自帶兩類時鐘源:硬件時鐘和軟件時鐘(或稱為系統時鐘)。不論是硬件時鐘還是軟件時鐘,都是由石英晶體振蕩器驅動的,通過累計石英晶體振蕩器輸出脈沖數,換算出時間。所以計算機時鐘的準確度取決于晶振頻率準確度。受溫度變化、電壓、芯片老化等因素影響,晶振頻率會發生小幅度波動,其中溫度對晶振頻影響最大。
由于工藝和材料的原因,同一生產線上標稱頻率相同的石英晶體,其實際頻率是不同的,實際頻率與標稱頻率偏差率從10-4量級到10-9量級不等。以10-4量級為例,時鐘每天至少誤差8.64 s。
時鐘頻率偏差是時鐘長期計時累積誤差的主要原因,要提高時鐘長期計時精度,必須補償時鐘頻率偏差。聯網的計算機可采用NTP方式,可非常方便地校準時鐘頻率偏差。以NTP服務器時鐘為標準時間,在某一時刻設置NTP客戶機時間為NTP服務器當前時間T0,經過一段時間后,NTP服務器時間為T0+tsn,NTP客戶端時間為T0+tcn。因為存在時鐘頻率偏差,tsn與tcn并不相等。NTP客戶端時間tcn需乘以時鐘頻率偏差系數k才等于tsn,即tsn=k×tcn,所以k=tsn/tcn。
任何晶振實際工作頻率都是不穩定的,只是程度不同而已。即使溫度補償的晶振,在常溫范圍內(攝氏10℃~35℃)也有大約5×10-7~2×10-6的誤差。晶振實際頻率是受外界多種因素(溫度、電壓、老化等)影響而改變的。因此,時鐘頻率偏差系數k并非恒定不變的。每隔一定時間,NTP客戶機要對時鐘頻率偏差系數k進行校正,才能保證計時精度。
局域網絡延相對較大的原因在于時間戳一般都是在應用層加蓋。為減少操作系統內核處理延時的影響提高NTP授時精度,發/收NTP包時間戳應盡量接近主機真實發/收包時刻。在不改變硬件的條件下,一個可行的辦法是修改網卡驅動程序,將記錄NTP包發/收時間戳從應用程序移至網卡驅動程序處,可消除操作系統內核處理延時不確定而引入的誤差。這種方法在局域網中可大幅提高NTP授時精度至μs級。
為了減少溫度引起晶振頻率漂移對時鐘準確度的影響,可以采用數字溫漂補償方法,提高時鐘長期計時準確度。先測出工作溫度范圍內溫度對應的溫漂補償系數,工作時每隔一定時間,根據實際溫度查出對應補償系數動態地修正時間。
時鐘頻率偏差和時鐘分辨率低是局域網NTP授時精度不高的主要原因。
上一篇:新能源電動汽車電池荷電量簡介
下一篇:新能源電動汽車電池充電過程簡介