

檢測系統往往由若干個環節組成,測量過程往往包含有若干個環節,各個環節都存在著誤差因素。任何測量結果都包含有一定的測量誤差,這是檢測系統或測量過程各個環節一系列誤差因素共同影響的綜合結果。各個環節的誤差因素稱為單項誤差。根據各單項誤差來確定測量結果的總誤差,這就是誤差的合成。測量結果的總誤差常用極限誤差來表示,也可用標準差來表示。
若用標準差來表示測量結果的總誤差,由于在一般情況下已定系統誤差可以從測量結果中修正,因此只需考慮未定系統誤差與隨機誤差的合成問題。
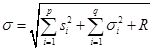
若在測量過程中有P個單項未定系統誤差,它們的標準差分別為
;有 個單項隨機誤差,它們的標準差分別為
。為計算方便,設各個單項誤差傳遞系數均為1,則測量結果的總標準差為:
(1.1)
式中,R為各個誤差間協方差之和。
當各個誤差間互不相關時,各個誤差間協方差為零,則式(1-1)可簡化為
(1.2)
對于單次測量,可直接按式(1.1)或式(1.2)求得最后結果的總標準差。對多次重復測量,由于隨機誤差具有抵償性,而系統誤差則固定不變,因此總標準差合成公式中的隨機誤差項應除以重復測量次數n,即測量結果平均值的總標準差為
(1.3)
比較式(1.2)和式(1.3)可知,對于單次測量的總標準差合成中,不需嚴格區分各個單項誤差是未定系統誤差還是隨機誤差;而對于多次重復測量的總標準差合成中,則必須嚴格區分各個單項誤差是未定系統誤差還是隨機誤差。
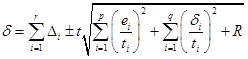
若在測量過程中有r個單項已定系統誤差,它們的誤差值分別為
;有 個單項未定系統誤差,它們的極限誤差分別為
;有 個單項隨機誤差,它們的極限誤差分別為
。為計算方便,設各個單項誤差傳遞系數均為1,則測量結果的總極限誤差為
(1.4)
式中,R為各個誤差間協方差之和; 為總極限誤差的置信系數。當單項誤差的數目較多時,合成的總極限誤差接近于正態分布,因此總極限誤差的置信系數 可按正態分布來確定。
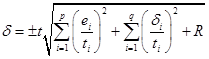
在一般情況下,已定系統誤差可以從測量結果中修正后,測量結果的總極限誤差為
(1.5)
當各個單項誤差均服從正態分布時,各個單項極限誤差與總極限誤差選定相同的置信概率,其相應的各個置信系數相同,式(1.5)可簡化為
(1.6)
當各個單項誤差間互不相關時,各個單項誤差間協方差為零,則有
(1.7)
對于單次測量,可直接按式(1.5)或式(1.6)、式(1.7)求得最后結果的總極限誤差。對多次重復測量,由于隨機誤差具有抵償性,而系統誤差則固定不變,因此總極限誤差合成公式中的隨機誤差項應除以重復測量次數n,即測量結果平均值的總極限誤差為
(1.8)
比較式(1.7)和式(1.8)可知,對于單次測量的總極限誤差合成中,不需嚴格區分各個單項誤差是未定系統誤差還是隨機誤差;而對于多次重復測量的總極限誤差合成中,則必須嚴格區分各個單項誤差是未定系統誤差還是隨機誤差。
上一篇:如何對隨機誤差進行合成?
下一篇:沒有了