

電能質量即電力系統中電能的質量,在現代電力系統中,由于大量的變頻器的使用產生諧波導致的電壓波形畸變,以及電壓暫降、暫升和短時中斷等,都成為很重要的電能質量問題。WP4000變頻功率分析儀對電能質量的測量包括三相對稱分析和諧波運算兩大方面,比較概括的對電能質量對出了分析。
電壓相間不平衡度Eu:
(4.34)
電流相間不平衡度Ei:
(4.35)
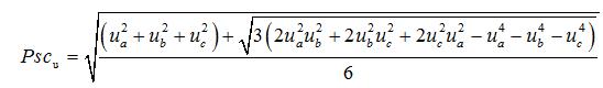
電壓正序分量PSCu:
(4.36)
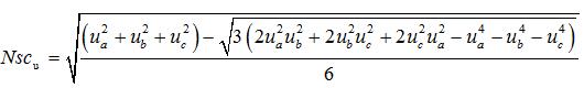
電壓負序分量NSCu:
(4.37)
電流正序分量PSCi:
(4.38)
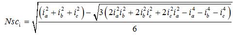
電流負序分量NSCi:
(4.39)
諧波失真THD(IEC標準)
(4.40)
諧波含量HC(DIN標準)
(4.41)
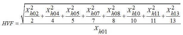
諧波電壓因數HVF(國標)
(4.42)
波形畸變率K(國標)
(4.43)
電話諧波因數THF(國標)
(4.44)
變頻電源的使用帶來了很多電源使用方面的改革,變頻節能也是目前最熱門的話題,隨著變頻電源的發展,變頻電源對電網的污染也不容忽視,傳統的電能質量測試手段存在著一定的局限性,我們需要利用現代先進的測量技術得到準確的測量數據,實現對電能質量準確的把控,保障電力系統的安全可靠運行。
上一篇:什么是信號調理電路
下一篇:常用的電壓傳感器有哪幾種?