

三相不平衡度在三相電力系統中指三相不平衡的程度,用電壓、電流的負序基波分量或零序基波分量與正序基波分量的方均根百分比表示。
一三相不平衡度定義
國家標準《GB/T15543-2008 電能質量 三相電壓不平衡》(下稱“國標”)對三相不平衡度及相關定義如下:
不平衡度 unbalance factor
在三相電力系統中三相不平衡的程度,用電壓、電流的負序基波分量或零序基波分量與正序基波分量的方均根百分比表示。電壓、電流的負序不平衡度和零序不平衡度分別用εu2、εu0、εi2、εi0表示。
電壓不平衡 voltage factor
三相電壓在幅值上不同或相位差不是120°,或兼而有之。
正序分量 positive-sequence component
將不平衡三相系統的電量按對稱分量法分解后其正序對稱系統中的分量。
負序分量 negative-sequence component
將不平衡三相系統的電量按對稱分量法分解后其負序對稱系統中的分量。
零序分量 zero-sequence component
將不平衡三相系統的電量按對稱分量法分解后其零序對稱系統中的分量。
公共連接點 point of common coupling
電力系統中一個以上用戶的連接處。
二電壓三相不平衡度限值
電網正常運行時,公共連接點電壓不平衡度限值為:
εU2≯2%,短時(3s~1min)εU2≯4%。
接于公共連接點的每個用戶引起的電壓不平衡度限值為:
εU2≯1.3%,短時(3s~1min)εU2≯2.6%。
三三相不平衡度不同的計算方法
國標定義的三相不平衡度需要知道三相相電壓的大小和相位,運算較復雜。此外,在三相三線制系統中,相電壓不易測量,電機試驗電參數測量多數屬于這種情況,可參考其它相關標準。以下匯集了國標及相關標準對三相不平衡度的計算方法。
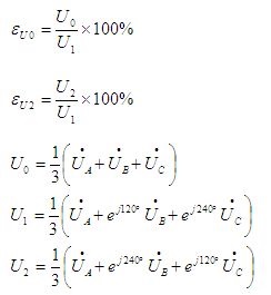
三相電壓不平衡度包括三相電壓零序不平衡度和三相電壓負序不平衡度,分別為零序分量與正序分量的比值及負序分量與正序分量的比值。

注:εu0表示三相電壓零序不平衡度,εu2表示三相電壓負序不平衡度,U0、U1、U2分別表示三相電壓的零序分量、正序分量和負序分量。
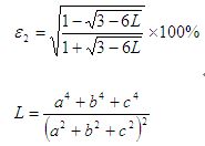
在三相三線制系統中,沒有零序分量。對于沒有零序分量的三相系統,國標推薦的三相不平衡度的簡化計算方法如下:

注:ε2表示三相負序不平衡度,a、b、c分別表示三相電壓或電流的基波分量的有效值。
IEEE std 936-1987定義的電壓不平衡度為相電壓不平衡率(PVUR),PVUR等于三相相電壓中的最大方均根電壓與最小方均根電壓的差值與平均相電壓方均根值的比值:

注:UA、UB、UC分別為三相相電壓的有效值(不是基波分量有效值,但在電網中,電壓的有效值與基波分量有效值非常接近,實際運算也可用基波有效值替代)。
IEEE std 112-1991定義的電壓不平衡度為相電壓不平衡率(PVUR),PVUR等于三相相電壓方均根值與三相相電壓方均根值的平均值之差的最大值與三相相電壓方均根值的平均值的比值:

NEMA定義的電壓不平衡度為線電壓不平衡率(LVUR),LVUR的定義與IEEE std 112-1991類似,只不過將相電壓換為線電壓:

國際大電網委員會定義的電壓不平衡度為線電壓不平衡率(LVUR),其計算式與國標簡化計算方法相同:

因為線電壓必定不包含零序分量,因此,國標的簡化算法與GIGRE算法是完全相符的,實際上都是屬于對稱分量法在不含零序分量時的推導結果,因此,可以看作是國標的特例。
四三相不平衡度對測量儀器的要求
電壓不平衡度測量誤差應滿足下式的規定:

電流不平衡度測量誤差應滿足下式的規定:

WP4000變頻功率分析儀的上位機擴展軟件包(如:電能質量分析儀模塊)包含上述所有標準的計算方法,用戶可根據相關行業標準及自身需要進行選擇。對于電機試驗而言,由于大多采用三相三線制供電,測量的電壓為線電壓、無零序分量,無中性線、電流無零序分量,推薦采用國標簡化算法。
此外,對稱分量法只適用于正弦量的分析,對于非正弦的變頻電量,可對其基波分量采用對稱分量法計算其三相不平衡度。

圖. WP4000變頻功率分析儀三相不平衡度測試界面