

THD是英文Total Harmonic Distortion的縮寫,意為總諧波失真。
電學中,諧波是相對于基波而言的,一個頻率為f1的正弦電壓信號,施加在諸如整流器等非線性設備上,其電流信號發生失真,不再是純正的正弦波。而是相當于頻率為f1的正弦波(基波)與若干頻率為f1的整數倍的正弦波(諧波)的疊加。這里的諧波,是引起電流信號失真的原因,這種現象,我們稱為諧波失真。總諧波失真(THD)用于所有諧波引起的波形失真的程度。
圖1為六脈整流變頻器的輸入電壓和電流波形,上方波形窗口中的電壓波形為純正的正弦波,而下方波形窗口中顯示的電流波形已經發生了嚴重的諧波失真。諧波失真由非線性器件二極管導致,由于一個周波中,二極管開通6次,所以呈現六個脈沖波。

圖1.六脈整流變頻器輸入電流的發生嚴重的諧波失真
不同標準對THD的定義不盡不同。
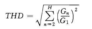
1、《電磁兼容試驗和測量技術供電系統及所連設備諧波、諧間波的測量和測量儀器導則》中,對THD的定義如下:
THD:不大于某特定階數H的所有諧波分量有效值與基波分量有效值比值的方和根;

符號G表示諧波分量的有效值,它將按要求在表示電流時被I代替,在表示電壓時被U代替,H的值在與限制有關的每一個標準中給出。按照上述定義,THD不包含間諧波,并且,有一固定的諧波上限。
2、《GB/T12668.2-2002調速電氣傳動系統 一般要求 低壓交流變頻電氣傳動系統額定值的規定》對THD定義如下:

上式中,Q為總有效值,Q1為基波有效值,可代表電壓或電流,按照上述定義,THD包含間諧波和直流分量。
從總諧波失真的計算公式可知,總諧波失真的數值與諧波次數的上限值H密切相關。一般的諧波測量設備如諧波分析儀等,大多適用于電網諧波測量,其上限值通常在40次以內。
對于變頻器等包含較高次諧波的諧波發射設備,測量總諧波失真需要采用可以測量更高次諧波的專用諧波檢測儀器如:變頻功率分析儀。此外,對于高電壓、大電流系統,還需注意所用的傳感器具有必要的帶寬如:變頻功率傳感器。
上一篇:同步采樣
下一篇:諧波電壓因數(HVF)