<cite id="5ljlj"></cite>
<menuitem id="5ljlj"></menuitem>
<var id="5ljlj"></var>
<menuitem id="5ljlj"><video id="5ljlj"><thead id="5ljlj"></thead></video></menuitem><var id="5ljlj"><span id="5ljlj"><menuitem id="5ljlj"></menuitem></span></var>
<var id="5ljlj"></var>
<menuitem id="5ljlj"><strike id="5ljlj"><listing id="5ljlj"></listing></strike></menuitem>
<cite id="5ljlj"><video id="5ljlj"><thead id="5ljlj"></thead></video></cite>
<cite id="5ljlj"><video id="5ljlj"><thead id="5ljlj"></thead></video></cite>
<menuitem id="5ljlj"></menuitem>
<cite id="5ljlj"><video id="5ljlj"><thead id="5ljlj"></thead></video></cite><var id="5ljlj"><strike id="5ljlj"></strike></var><var id="5ljlj"><strike id="5ljlj"></strike></var>
<var id="5ljlj"></var>
<var id="5ljlj"><strike id="5ljlj"><listing id="5ljlj"></listing></strike></var>
<ins id="5ljlj"></ins>
當前位置:首頁檢測中心基礎知識 │ 功率分析儀計算公式大全

功率分析儀計算公式大全

  • 瀏覽次數:7126次
  • 發布時間:2013/12/23 15:11:53
  • 作者:AnyWay中國

  功率分析儀通常指適用于復雜變頻電量測量分析的儀器,是功率表或功率計的升級換代產品。功率分析儀對傳統的電壓、電流和功率進行了重新定義。其測量參數除了傳統功率表或功率計的電壓、電流和功率外,還包括電壓、電流的基波、諧波及各種諧波特征值。 
  本文羅列了適用于變頻電量測量的功率分析儀的基礎測量參量的相關計算公式,供功率分析儀研發及功率分析儀原理學習參考。
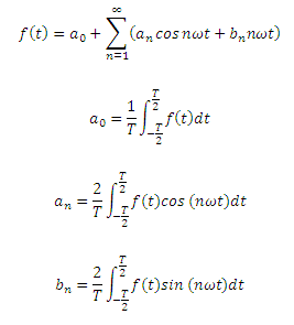
  周期信號的數學模型:
功率分析儀研發必備_周期信號數學模型
  功率分析儀電壓真有效值計算公式:
功率分析儀研發必備_電壓真有效值計算公式
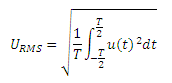
  功率分析儀電流真有效值計算公式:
功率分析儀研發必備_電流真有效值計算公式
  功率分析儀瞬時功率計算公式:
功率分析儀研發必備_瞬時功率計算公式
  功率分析儀有功功率計算公式:
功率分析儀研發必備_平均功率及有功功率計算公式
  注:當電壓和電流均為正弦波時,下述公式成立:
功率分析儀研發必備_正弦電路有功功率計算公式
  其中,φ為電流滯后電壓的角度。
  功率分析儀電壓基波有效值及基波相位計算公式:
功率分析儀研發必備_基波電壓有效值及相位計算公式
  功率分析儀電流基波有效值及基波相位計算公式:
功率分析儀研發必備_基波電流有效值及相位計算公式
  功率分析儀基波有功功率計算公式:
功率分析儀研發必備_正弦電路基波功率計算公式
  其中,φ1為基波電流滯后基波電壓的角度。
  功率分析儀電壓諧波幅值及相位計算公式如下:
功率分析儀研發必備_諧波電壓有效值及相位計算公式
  功率分析儀電流諧波幅值及相位計算公式如下:
功率分析儀研發必備_諧波電流有效值及相位計算公式
  功率分析儀電壓及電流總諧波畸變率計算公式:
功率分析儀研發必備_總諧波畸變率THD計算公式
  功率分析儀電壓及電流總諧波因數計算公式:
功率分析儀研發必備_總諧波因數THF計算公式
  注:THD與THF的主要區別在于根號內的分母,THD可能大于1,而THF不會大于1。
  功率分析儀諧波電壓因數計算公式:
功率分析儀研發必備_諧波電壓因數HVF計算公式
  注:H=13,參見GB755-2008旋轉電機 定額和性能。
  功率分析儀諧波電流因數HCF計算公式:
功率分析儀研發必備_諧波電流因數HCF計算公式
  注:H=13,參見GB755-2008旋轉電機 定額和性能。需注意HCF與HVF形式上的不同。
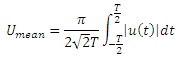
  功率分析儀電壓校準平均值計算公式:
功率分析儀研發必備_電壓校準平均值計算公式
  功率分析儀電流校準平均值計算公式:
功率分析儀研發必備_電流校準平均值計算公式

Copyright 2010-2017 www.ayxdmy.com, All Rights Reserved 湖南銀河電氣有限公司 版權所有 湘ICP備09002592號-5
中文字幕在线观看