<cite id="5ljlj"></cite>
<menuitem id="5ljlj"></menuitem>
<var id="5ljlj"></var>
<menuitem id="5ljlj"><video id="5ljlj"><thead id="5ljlj"></thead></video></menuitem><var id="5ljlj"><span id="5ljlj"><menuitem id="5ljlj"></menuitem></span></var>
<var id="5ljlj"></var>
<menuitem id="5ljlj"><strike id="5ljlj"><listing id="5ljlj"></listing></strike></menuitem>
<cite id="5ljlj"><video id="5ljlj"><thead id="5ljlj"></thead></video></cite>
<cite id="5ljlj"><video id="5ljlj"><thead id="5ljlj"></thead></video></cite>
<menuitem id="5ljlj"></menuitem>
<cite id="5ljlj"><video id="5ljlj"><thead id="5ljlj"></thead></video></cite><var id="5ljlj"><strike id="5ljlj"></strike></var><var id="5ljlj"><strike id="5ljlj"></strike></var>
<var id="5ljlj"></var>
<var id="5ljlj"><strike id="5ljlj"><listing id="5ljlj"></listing></strike></var>
<ins id="5ljlj"></ins>
當前位置:首頁產品問答 │ 二瓦計法相位與功率因數的關系

二瓦計法相位與功率因數的關系

  • 瀏覽次數:11406次
  • 發布時間:2014/3/20 14:14:40
  • 作者:銀河電氣

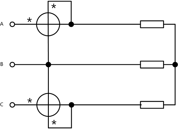
  二瓦計法被廣泛應用于三相三線制中三相總有功功率的測量。二瓦計法包括兩個功率表,兩個功率表的有功功率之和等于三相總有功功率。功率表接線圖如圖1。
二瓦計法接線圖 
圖1. 二瓦計法接線圖
  圖1所示的兩個功率表P1和P2的示值并沒有明確的物理意義。
  P1的示值取決于線電壓Uab、線電流Ia及線電壓Uab和線電流Ia的相位差。
  P2的示值取決于線電壓Ucb、線電流Ic及線電壓Ucb和線電流Ic的相位差。
  在三相對稱電路中,三相功率因數等于單相功率因數,但是,二瓦計中,多數情況下,P1和P2的功率因數不同,P1和P2的功率因數與三相功率因數不同。
  圖2為Y型接法且三相對稱時線電壓、相電壓與線電流(相電流)的相位關系圖。
二瓦計中線電壓、相電壓、線電流及相電流的相位關系 
圖2. 二瓦計法線電壓、相電壓、線電流、相電流的關系
  左圖中,功率因數為1,相電壓與相電流的相位差φ=0°。此時,線電壓Uab與線電流Ia的相位差為30°;線電壓Ucb與線電流Ic的相位差為-30°
  更為普遍的相位關系見右圖,由圖可知,線電壓Uab與線電流Ia的相位差為φ+30°;線電壓Ucb與線電流Ic的相位差為φ-30°。
  記線電壓Uab與線電流Ia的相位差為φab,功率表P1的功率因數為cosφab;線電壓Ucb與線電流Ic的相位差為φcb,功率表P2的功率因數為cosφcb;相電壓與相電流的相位差為φ,功率因數為cosφ。
  表1列出了幾個典型功率因數下的線電壓與線電流的相位關系及功率表P1和P2的功率因數。
  表1.二瓦計法下總功率因數與各功率表的功率因數的關系  
NO φ Cosφ φab Cosφab φcb Cosφcb
1 -150° -0.866 -120° -0.5 180° -1
2 -120° -0.5 -90° 0 -150° -0.866
3 -90° 0 -60° 0.5 -120° -0.5
4 -60° 0.5 -30° 0.866 -90° 0
5 -30° 0.866 1 -60° 0.5
6 1 30° 0.866 -30° 0.866
7 30° 0.866 60° 0.5 1
8 60° 0.5 90° 0 30° 0.866
9 90° 0 120° -0.5 60° 0.5
10 120° -0.5 150° -0.866 90° 0
11 150° -0.866 180° -1 120° -0.5
12 180° -1 -150° -0.866 150° -0.866
  由表1可知:
  當功率因數為±1時,兩個功率表讀數相同,符號相同。
  當功率因數為0時,兩個功率表讀數相同,符號相反。
  當一個功率表的功率因數為±1時,另一個功率表的功率因數必為±0.5,且兩個功率表的符號相同。

  作者:AnyWay中國
  湖南銀河電氣有限公司(http://www.ayxdmy.com/


Copyright 2010-2017 www.ayxdmy.com, All Rights Reserved 湖南銀河電氣有限公司 版權所有 湘ICP備09002592號-5
中文字幕在线观看