<cite id="5ljlj"></cite>
<menuitem id="5ljlj"></menuitem>
<var id="5ljlj"></var>
<menuitem id="5ljlj"><video id="5ljlj"><thead id="5ljlj"></thead></video></menuitem><var id="5ljlj"><span id="5ljlj"><menuitem id="5ljlj"></menuitem></span></var>
<var id="5ljlj"></var>
<menuitem id="5ljlj"><strike id="5ljlj"><listing id="5ljlj"></listing></strike></menuitem>
<cite id="5ljlj"><video id="5ljlj"><thead id="5ljlj"></thead></video></cite>
<cite id="5ljlj"><video id="5ljlj"><thead id="5ljlj"></thead></video></cite>
<menuitem id="5ljlj"></menuitem>
<cite id="5ljlj"><video id="5ljlj"><thead id="5ljlj"></thead></video></cite><var id="5ljlj"><strike id="5ljlj"></strike></var><var id="5ljlj"><strike id="5ljlj"></strike></var>
<var id="5ljlj"></var>
<var id="5ljlj"><strike id="5ljlj"><listing id="5ljlj"></listing></strike></var>
<ins id="5ljlj"></ins>
當前位置:首頁檢測中心基礎知識 │ 三相電功率計算及三相電的特點

三相電功率計算及三相電的特點

  • 瀏覽次數:8105次
  • 發布時間:2014/4/18 10:25:22
  • 作者:hb_yinhe

  三相電是一組三個頻率相同、振幅相同、相位彼此相差1200的正弦波電壓的組成的三相交流電,由三個繞組的三相發電機產生,是工業上常用的電源。

一、三相電功率計算

1、三相電平均功率計算

   Pp=UpIpcosj      三相總功率: P=3Pp=3UpIpcosj

         Y形接法:1

                       2


        D形接法:3

                       4

   注: (1) j為相電壓與相電流的相位差角(阻抗角),不要誤以為是線電壓與線電流的相位差。

         (2) cosj為每相的功率因數,在對稱三相制中三相功率因數:   cos A= cos B = cos C = cosj 。
         (3)公式計算電源發出的功率(或負載吸收的功率)

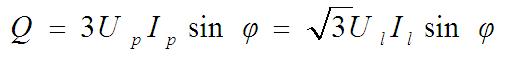
2、三相電無功功率計算     

             5
         Q=QA+QB+QC= 3Qp  

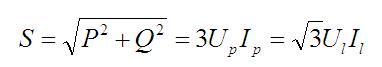
3、三相電視在功率計算

       6

4、功率因數計算

          cos j=P/S      (不對稱時無意義)
     上面所說的P、Q、S 都是指三相總和。

二、三相電功率的測量

1、對三相四線制采用三表法測量

   7
                                                 
   若負載對稱,則需一塊表,讀數乘以 3      測量方法如下圖所示:
     8

2、對三相三線制采用兩表法測量

  這種測量線路的接法是將兩個功率表的電流線圈串到任意兩相中,電壓線圈的同名端接到其電流線圈所串的線上,電壓線圈的非同名端接到另一相沒有串功率表的線上。(有三種接線方式)
   若下圖中W1的讀數為P1, W2的讀數為P2 ,則三相總功率為:P=P1+P2 
   9
   證明如下:(假設負載是Y型聯接)   示意圖如下
   P=uAN iA+uBN iB+uCN iC     iA+ iB+iC=0     iC= –(iA + iB
   p= (uAN –  uCN)iA + (uBN –  uCN) iB=uACiA +uBC i
   11
    1:  j1是uACiA的相位差, 2:  j2uBCiB的相位差
   由上論證可以得出:兩個功率表的讀數的代數和就是三相總功率。△聯接負載結論相同。  

二、三相電的優點

   1、發電方面:比單相電源可提高功率50%;
   2、輸電方面:比單相輸電節省鋼材25%;
   3、配電方面:三相變壓器比單相變壓器經濟且便于接入負載:
   4、運電設備:具有結構簡單、成本低、運行可靠、維護方便等優點。
   以上優點使三相電路在動力方面獲得了廣泛應用,是目前電力系統采用的主要供電方式。

三、三相功率測量注意事項

   1、只有在三相三線制條件下,才能用二表法,且不論負載對稱與否。
   2、三相三線制條件下,只能用兩表法。
   3、兩表法兩塊表讀數的代數和為三相總功率,每塊表單獨的讀數無意義。


Copyright 2010-2017 www.ayxdmy.com, All Rights Reserved 湖南銀河電氣有限公司 版權所有 湘ICP備09002592號-5
中文字幕在线观看