

一正弦交流電有功功率
有功功率的計算,最常用的公式為:
(1)
U、I分別為正弦交流電的有效值,φ為電壓與電流信號的相位差。
但是公式(1)只有在電壓、電流為正弦波的情況下才適用。那對于非正弦交流電的有功功率該如何計算呢?
二非正弦交流電有功功率計算公式
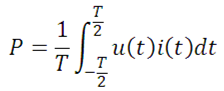
首先來看有功功率的定義:
在交流電路中,有功功率是指一個周期內發出或負載消耗的瞬時功率的積分的平均值(或負載電阻所消耗的功率),因此,也稱平均功率。
從有功功率的定義可以得到一個關于有功功率普遍適用的計算公式:
(2)
所以公式(2)適用于正弦交流電、非正弦交流電有功功率的計算。實際上,公式(1)也是由公式(2)積分計算得到的。
三周期非正弦交流電有功功率計算公式
我們知道,對于電參量測量遇到的周期非正弦信號,都可以用傅里葉變換,將其表示成各種不同頻率正弦和/或余弦信號的疊加,從而進行相關的頻譜分析等。
所以從電壓、電流分別分解得到的基波及諧波的角度,同樣可以進行有功功率的計算,將公式(2)中的電壓、電流進行傅里葉變換得到:
(3)
un、in為n次諧波電壓、諧波電流。
對式子(3)進行化簡(見下面解釋)得到周期非正弦交流電有功功率的另外一種計算公式形式:
(4)
該公式表述為:原周期非正弦交流電的有功功率等于分解后的直流分量有功功率、1次諧波分量(基波)有功功率、2次諧波分量有功功率……n次諧波分量有功功率之和。
對于周期非正弦信號,除了適用公式(2),還適用公式(4)。
四對于公式(4)的解釋
1、為什么是P=UIcosφ的形式?
因為原周期非正弦的電壓、電流信號已經分解為正弦/余弦形式的不同頻率諧波的疊加,所以其有功功率計算公式的形式為P=UIcosφ。
2、為什么只有同頻率諧波電壓、諧波電流參與計算?
因為正弦波具有正交性,也就是任意兩個不同頻率的正弦波的乘積,在兩者的公共周期內的積分等于零,所以電壓、電流分解后得到的不同頻率的諧波之間乘積再積分為零。相同頻率諧波電壓、諧波電流之間的乘積再積分后的值相加,得到公式(4)。