

由數學可知,一個正弦量與時間的函數關系可以用它的頻率、初相位和振幅三個量來表示它的基本特征,這三個量叫正弦量的三要素。對于一個正弦交流電來說,也可以由這三要素來唯一決定。一個正弦交流電流,其數學表達式為


式中i表示交流電流的瞬時大小,稱為瞬時值。Im表示正弦電流振幅的大小,稱為最大值。ω表示正弦電流的角頻率,φ0表示正弦電流的初相位。ω、φ0及Im是表示正弦交流電的三要素,也是區分不同正弦電流的依據。
正弦交流電完成一次周期性變化所用的時間叫周期,用T表示,它是波形重復出現的最短時間。單位時間內正弦交流電完成周期性變化的次數叫頻率,用f表示,單位:赫茲(Hz)。它與周期的關系

我國及其他多數國家發電廠發出的交流電的頻率為50Hz,通常稱為“工頻”,也有的國家采用60Hz的。其它技術領域里應用著不同頻率的交流電,如航空工業用的交流電為400Hz,電子技術里應用的音頻電流約是20Hz~20KHz。
正弦交流電變化一個周期,相當于正弦函數變化了2π個弧度,稱之為電角度。單位時間內交流電變化的電角度稱為電角速度,亦稱角頻率,用ω表示。那么


由此可見,用角頻率也表示交流電變化的快慢。單位:弧度/秒(rad/s)。
1. 瞬時值
交流電在任一時刻的實際值叫做瞬時值,瞬時值只從隨時間變化的關系上說明某一時刻正弦量的大小。規定交流電的瞬時值一律用英文小寫字母表示,如i、u、e分別表示交流電流、電壓和電動勢的瞬時值。
2. 最大值(幅值)
交流電在變化過程中所出現的最大瞬時值叫做最大值(幅值),它是正弦交流電的振幅。交流電幅值通常用英文大寫字母加下標m表示,如用Im、Um、Em分別表示交流電流、電壓和電動勢的最大值。
3. 有效值
一個交流電流的作功能力相當于某一數值的直流電流的作功能力,這個直流電流的數值就是該交流電的有效值。如圖所示,在同一個電阻R中分別通以交流電和直流電,在相同的時間內產生的熱量相同,我們就說這兩個電流等效,這個直流電流的數值就是該交流電流的有效值。即交流電的有效值就是與它平均耗能相等的直流電的值。通常用英文大寫字母不加下標表示,如用I、U、E分別表示交流電流、電壓和電動勢的有效值。

根據焦耳定律,交流電流在一個周期內產生的熱量為

直流電流在一個周期內產生的熱量為

根據有效值的定義,兩種電流產生的熱量相等,即

由此得交流電流的有效值

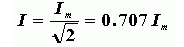
設交流電流為i=Imsinωt,代入上式,得



在電工測量中,常用的交流電壓表、電流表測得的數值都是有效值,交流電設備銘牌上標注的也是有效值。
1. 相位和初相位
交流電在隨時間變化的過程中,不同時刻對應著不同的電角度,從而得到不同的瞬時值,所以正弦交流電中的反映了正弦量在交變過程中瞬時值的變化進程。我們把叫正弦交流電的相位(或相位角)。當時,正弦量的相位叫初相位。
2. 相位差
兩個同頻率的正弦交流電在任一時刻相位角之差稱為相位差。設兩個同頻率的正弦交流電分別是


它們之間的相位差角是

如果一個正弦量比另一個正弦量先達到正的最大值或零值,那么在相位上就說前者“超前”后者,或者說后者在相位上“落后”于前者。若,則比超前角(或比落后角);若,則比落后角(或比超前角)。
如果兩個正弦量的初相位相同,即,我們稱和同相;如果兩個正弦量的初相位相反,即,我們稱和反相。