

伺服電機的機電時間常數包含電氣時間常數和機械時間常數。在測試中要將電氣時間常數和機械時間常數兩者區分開來比較困難,加之電氣時間常數通常情況下比機械時間常數小得多,在工程應用及測試中一般不去將它們分開。
伺服電機機電時間常數測試原理主要源于機電時間常數的定義及電機動態理論,國標中推薦了起動電流法、控制電流法、測速機法和對拖法幾種測試方法,下面本文就對幾種測試方法的原理及操作進行介紹。
GB/T 2900控制電機術語中對機電時間常數、機械時間常數、電氣時間常數定義如下:
機電時間常數是伺服電機在空載和額定勵磁條件下,加以階躍的額定控制電壓,轉速從零上升到空載轉速的63.2%所需時間。
對于直流伺服電動機和交流伺服電動機的具體計算方法,可用電機端電阻R,轉動慣量Jm,反電勢系數Ke,轉矩常數KT等參數表示:

可用電機端電阻R和電感L表示:

根據直流電機動態理論,可得下式:

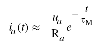
式中:
ua——電樞電壓,單位為伏特V;
Ia——電樞電流,單位為安培A;
Ra——電樞電阻,單位為歐姆Ω;
tM——機電時間常數,單位為s。
電機空載起動時電流從最大值衰減到63.2%所用時間就是機電時間常數tM。測試時,將電機定子固定,電機軸上不加任何負載,對帶勵磁的電機激勵繞組施加額定勵磁,電樞繞組加額定階躍電壓,用波形采集設備記錄電機加階躍電壓過程中起動電流的完整波形,然后通過波形數據處理獲取電機的時間常數。
同起動電流法類似,可得出

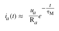
式中:
ua——點數電壓,單位為伏特V;
Ia——電樞電流,單位為安培A;
Ra——電樞電阻,單位為歐姆Ω;
tM——機電時間常數,單位為秒s;
電機空載制動時電流從最大值衰減到63.2%所用時間就是機電時間常數tM。測試時,將電機定子固定,電機軸上不加任何負載。對帶勵磁的電機激勵繞組施加額定勵磁,電樞繞組加額定電壓,待電機轉速穩定后,斷開電樞繞組電壓,立即將電樞繞組斷路。用波形采集設備記錄電機電樞繞組斷路至電機停轉過程中控制電流的完整波形,然后通過波形數據處理獲取電機的時間常數。
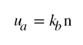
測速發電機空載時的輸出電壓與轉速的關系式如下:

式中:
ua——發電機輸出電壓,單位為伏特V;
Kb——電機常數,單位為伏特秒每弧度V.s/rad;

圖1:測速機法接線圖
測試時,用一臺低慣量測速發電機和待測電動機同軸剛性連接并固定,按上圖1所示接線。給電動機施加額定階躍電壓UN,電動機帶動測速發電機一起旋轉,直到轉速穩定。在波形采集設備記錄測速發電機的電壓波形,從波形圖上求出電壓從零上升至穩態值的63.2%所用時間,此即為機電時間常數。
N——發電機轉速,單位轉每分鐘r/min。
將測速發電機與待測電動機同軸連接,電動機加階躍電壓起動時,帶動測速發電機旋轉而產生輸出電壓,從上式中可知,測速發電機輸出電壓與電動機轉速成正比,只要測出測速發電機輸出電壓上升波形就可以求出電動機的機電時間常數。

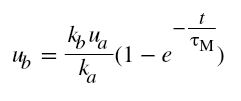
式中:
ub——發電機電樞電壓,單位為伏特V;
kb——電機常數,單位為伏特秒每弧度V.s/rad;
ua——電動機電樞電壓,單位為伏特V;
ka——電動機常數,單位為伏特電機常數,單位為伏特秒每弧度V.s/rad;
tM——聯合機電時間常數,單位為秒s。
發電機電樞電壓ub的上升曲線與機組旋轉角速度呈線性關系,從ub曲線中求得電壓從零上升至穩態值的63.2%所用的時間,此時間就是聯合時間常數tM。

圖2:對托法接線圖
將被測電機與另一臺機電時間常數已知的電機同軸剛性連接,一臺作為電動機工作另外一臺作為測速發電機工作,按照上圖2所示接線。給電動機施加額定階躍電壓UN,并測量測速發電機輸出電壓波形,時間常數的求取方法與測速機法相同,只不過所得時間常數為聯合機電時間常數。對于型號規格完全相同的兩臺電機,把波形圖上求出的機電時間常數除以2,就是所求電機的機電時間常數。若兩臺電機型號規格不同,則應預先知道當做測速發電機的機電時間常數,然后將波形圖上求出的機電時間常數tM減去測速發電機機電時間常數后就是所求電機的機電時間常數。
【原文:http://www.ayxdmy.com/NewsDetail-1862.aspx,轉載務必帶鏈接注明出處,未注明必追究責任!】