

數字高壓表是一種用于交流高電壓或直流高電壓的測量儀器,包括前端高壓變送傳感器、信號電纜、數字顯示測量儀表構成。根據數字高壓表檢定規程描述,數字高壓表適用于1000V以上、評論范圍在30Hz~300Hz范圍內的高壓測量,下面本文主要介紹數字高壓表的誤差限值及相關誤差檢定方法。

圖示1:數字高壓表工作原理示意圖
Z1——高壓分壓器高壓臂阻抗;
Z2——高壓分壓器低壓臂阻抗;
PV——低壓數字表;
U——被測高電壓,
;
n——高壓分壓器的分壓比,
;
U1——PV讀數值。
數字高壓表一般是指是用于測量頻率范圍在30Hz~300Hz內的交流高電壓和(或)直流高電壓的測量儀表,主要由高壓分壓器、傳輸電纜和低壓數字表構成。為了減小外界干擾,高壓分壓器的低壓輸出端通常使用屏蔽電纜與低壓數字表連接,電纜的屏蔽層與芯線間的電容與高壓分壓器的低壓臂阻抗并聯,因此傳輸電纜可以視為高壓表的一部分。
數字高壓表的基本誤差公式一般可采用下列兩種表現形式表示:
a) 兩項誤差之和所表示的絕對誤差來表示,且誤差公式中的b值應不大于a值的1/5。
式中:

a——與讀書有關的誤差系數;
Ux——被檢表的讀書值(顯示值);
b——與滿刻度值有關的誤差系數;
Um——被檢表的量程。
a、 b數值由生產廠家給出,若生產廠家為給出b值,則認為b值為零。
b) 用與數字高壓表讀數值之比的相對誤差來表示

數字高壓表的準確度等級分為0.1,0.2,0.5,1.0,1.5和2.0共6個等級。每一個等級對應的運行誤差見下表

表1示:準確度等級與允許誤差
根據數字高壓表檢定規程要求其基本誤差檢定一般采用直接比較法。交流電壓的基本誤差檢定在工頻電壓下進行。
檢定數字高壓表基本誤差的檢定點為被檢數字高壓表額定電壓的10%,20%,30%,40%,50%,60%,70%,80%,90%和100%共10個點。檢定時,各檢定點在電壓上升和下降時各測量一次。如果數字高壓表的技術條件還規定了其他工作電壓范圍,則還應增加相應的上限和下限檢定點。
采用高壓分壓器作標準器檢定數字高壓表,按照下圖2所示線路接線。
B——高壓電源及調壓控制和保護裝置;PV1——被檢數字高壓表;R——標準分壓器;PV2——標準低壓表

圖示2:采用高壓分壓器作標準器檢定數字高壓表的線路圖
采用分壓器作為標準器時,在交流電壓下檢定數字高壓表,采用交流分壓器;在直流電壓下檢定數字高壓表,采用直流分壓器。
標準分壓器的準確度應符合檢定用標準器配置準確度要求。如果分壓器只能在較小的溫度單位內保證準確度,應在標準分壓器保證準確度所允許的溫度范圍內進行行檢定。同時,標準數字電壓表的輸入阻抗應大于標準分壓器低壓端輸出阻抗的10/KR%倍。KR是分壓器準確度等級的數值。
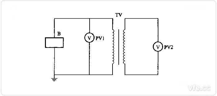
采用電壓互感器作標準器檢定數字高壓表時,按照下圖3所示接線。
TV——電壓互感器;其他字母含義同上

圖示3:采用電壓互感器作標準器檢定數字高壓表的線路圖
采用電壓互感器作為標準器檢定類似于采用分壓器作標準器,電壓互感器在這里主要是承擔類似于標準分壓器的分壓作用,將原邊的高電壓,變為副邊的低壓以滿足PV2標準低壓表的輸入要求。
上一篇:電能質量監測系統構成及功能要求
下一篇:數字多用表的誤差描述