

繼電保護測試儀的直流電流輸出校準是一項中要的檢測項目,對其直流電流輸出就行校準可以更加精準的實現對繼電保護設備檢測工作。下面本文主要根據繼電保護測試儀檢定規范介紹其直流電流輸出相關誤差限值要求及校準操作。
繼電保護測試儀直流電流輸出幅值的可調范圍為0~20A,其中:
下面本文主要根據繼電保護測試儀檢定規范介紹其直流電壓輸出相關誤差限值要求及校準操作。
——輸出電流的幅值為I≤10A,其變化的最小步長為2mA;
——輸出電流的幅值為10A<I≤20A時,其變化的最小步長為10mA。
當繼電保護測試儀輸出直流電流為0~20A時,直流電流中的交流分量的峰-峰值應不大于輸出設定值的1%。
被試繼電保護測試儀接通及斷開直流電流時的響應時間應小于1ms。
注:響應時間為電流值由10%電流值上升至90%電流值或由90%電流值下降至10%電流值的時間。
繼電保護測試儀直流電流的校準接線示意圖如圖1所示。

圖1:直流電流校準接線示意圖
分別設置測試儀輸出直流電流(直流電流的輸出校準點可選0.2A、0.5A、1A、5A、10A、15A),用校準標準分別測試直流電流輸出值誤差。
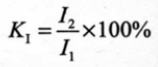
設置繼電保護測試儀輸出直流電流,用直流電流表測量直流電流值I1和用峰-峰值電流表測量交流分量的峰-峰值I2(如圖2所示),計算直流電流的紋波系數KI。

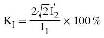
當使用有效值電流表測量交流分量I2時,直流電流的紋波系數KI應為

式中:
I’2——交流分量有效值。

圖2:直流電流的紋波系數測量接線圖
設置繼電保護測試儀三種試驗狀態為:
第一種狀態:輸出直流電流為0;
設置繼電保護測試儀三種試驗狀態為:
第三種狀態:輸出直流電流為0.
試驗時,被試繼電保護測試儀的試驗狀態由第一種狀態進入第二種狀態,再由第二種狀態進入第三種狀態。試驗過程中,測試儀輸出的直流電流由0突升至設定值,再由設定值突降至0。用數字存儲示波器記錄試驗過程中測試儀輸出直流電流的波形,在波形圖上測量直流電流由10%上升到90%電流值或由90%下降到10%電流值的時間。
下一篇:直流電壓互感器計量方法簡介