

伏安法測電阻是電學中典型的實驗之一,本文詳細描述采用伏安法進行直流電阻的測量方法以及比較。
在電路中對于直流電阻的測量經常采用伏安法進行測量,伏安法測量電阻有內接法和外接法,其連線方式分別如圖1和圖2所示。

圖1 外接法

圖2 內接法
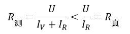
分別用R測、R真表示被測電阻的測量值和真實值RV、RA表示電壓表和電流表的內阻,當按照圖1外接法的方式對電阻進行測量的時候,被測電阻為:

由于電壓表的分流作用使得被測電阻值小于電阻的真實值,當電壓表內阻越大的時候其分流作用越弱,被測電阻值就越接近真實值。
當按照圖2內接法對電阻進行測量的時候,被測電阻為:

由于電流表的分壓作用使得被測電阻值大于電阻的真實值,當電流表的內阻越小的時候其分壓越小,被測電阻值就越接近真實值。
根據上面的分析可知,選擇合理的接線方式可以有效地減小測量誤差。
如果有先驗知識,知道被測電阻的阻值大致范圍和電壓表、電流表的內阻,可以采用如下判定規則選取接線方式:
1、當RV≥200R時,采用外接法;當R≥200R 時,采用內接法。
2、當RV、RA和R不滿足判據1時,采用如下判定規則:
當
時(即 為大電阻),采用內接法;
當
時(即 為小電阻),采用外接法;
當
時采用內、外接法均可;
3、當RV、RA和R未知時,此時可以用試觸法進行判定:

圖3 試觸法
首先將電壓表接于M點,測出此時的電壓 和電流 ;然后將電壓表接于N點,測出此時的電壓UN和電流IN,算出電壓變化量
和電流變化量 。
當
,說明電流表內阻帶來的影響比較大,此時用外接法;
當
時,說明電壓表內阻帶來的影響比較大,此時用內接法。
上一篇:16A以上諧波電流發射限值要求
下一篇:旋轉電機型號編制大全