

電能是我們日常生活的基礎能源,所以必須要保證電力供應的可靠性、穩定性。在電力供應中,不可避免地會產生一定的供電線路電壓損耗和功率損耗,下面就簡要介紹電壓損耗與功率損耗。
電壓降落
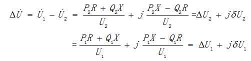
,定義為網絡元件首端、末端電壓的向量差。
輸電線路的等效模型如圖1所示,其中
、
分別是首端和末端電壓,首端功率為
,末端功率為
,R為傳輸線路電阻,X為傳輸線路電抗。

圖1 傳輸線路示意圖

其中
為電壓降落的縱分量
為電壓降落的橫分量
注意在進行計算時,功率和電壓必須是同端的;功率用三相功率,電壓用線電壓。
電壓損耗
,定義為網絡元件首端、末端電壓的數值差。
在通常的計算中,由于電壓損耗
與電壓降落的縱分量在數值上較接近,故一般用電壓降落的縱分量近似為電壓損耗,即
(1)
電力線路和元件中流過功率時,要引起功率損耗,其計算公式為:
(2)
根據公式(1)和公式(2)可知,在電力線路傳輸有功功率
一定的情況下,為了降低電壓損耗和功率損耗,可以通過以下方式:
1、提高供電電壓等級
;
2、增大導線橫截面積,減小輸電線路電阻R;
3、通過無功功率補償的方式,減小輸電線路傳輸的無功功率Q。
上一篇:銀河電氣扭矩轉速變送器選擇指南
下一篇:船舶軸功率常用測量方法及特點