<cite id="5ljlj"></cite>
<menuitem id="5ljlj"></menuitem>
<var id="5ljlj"></var>
<menuitem id="5ljlj"><video id="5ljlj"><thead id="5ljlj"></thead></video></menuitem><var id="5ljlj"><span id="5ljlj"><menuitem id="5ljlj"></menuitem></span></var>
<var id="5ljlj"></var>
<menuitem id="5ljlj"><strike id="5ljlj"><listing id="5ljlj"></listing></strike></menuitem>
<cite id="5ljlj"><video id="5ljlj"><thead id="5ljlj"></thead></video></cite>
<cite id="5ljlj"><video id="5ljlj"><thead id="5ljlj"></thead></video></cite>
<menuitem id="5ljlj"></menuitem>
<cite id="5ljlj"><video id="5ljlj"><thead id="5ljlj"></thead></video></cite><var id="5ljlj"><strike id="5ljlj"></strike></var><var id="5ljlj"><strike id="5ljlj"></strike></var>
<var id="5ljlj"></var>
<var id="5ljlj"><strike id="5ljlj"><listing id="5ljlj"></listing></strike></var>
<ins id="5ljlj"></ins>
當前位置:首頁檢測中心基礎知識 │ 電測法應力測量簡介

電測法應力測量簡介

  • 瀏覽次數:8139次
  • 發布時間:2017/9/20 17:50:18
  • 作者:czy_yinhe

  應力測量的常用方法有電測法、光纖光柵法、振弦式測量法。電測法應力測量是通過在被測部位粘貼應變片的方式將被測的非電量轉換成電阻值的變化,通過測量電阻值變化達到測量應力的目的。常用的應變片有箔式應變片、金屬絲式應變片和半導體式應變片。

應力測量常用橋路

  應力測量中電阻值變化通常比較小,為了測量電阻的微小變化通常會引入惠斯通電橋,惠斯通電橋由四個電阻組合而成。如圖1所示:
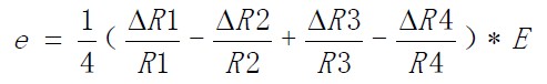
  如果R1=R2=R3=R4或R1×R3=R2×R4,那么無論輸入多大電壓,輸出電壓e總為0,這種狀態稱為平衡態。如果平衡被破壞,就會產生與電阻變化相對應的輸出電壓。
 惠斯通電橋
圖1  惠斯通電橋

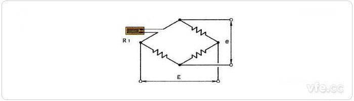
011/4橋應力測量

  如圖2所示,將R1與應變片相連,當應變片發生變化時,假設其阻值變化量為ΔR,則輸出電壓e的計算公式如下:
 
  上式中除了ε都是已知量,所以如果測出電橋的輸出電壓就可以計算出應變的大小。
  1/4橋應力測量
圖2  1/4橋應力測量

02全橋應變測量

  在電橋中的每個橋臂中聯入一枚應變片,當四條邊上的應變片的電阻分別引起R1+ΔR1、R2+ΔR2、R3+ΔR3、R4+ΔR4變化時橋路輸出電壓為
 
  若四枚應變片完全相同,比例常數為K,且應變分別為ε1 、ε2 、ε3 、ε4,則上式可寫成下面的形式:
 
  也就是說應變測量時,鄰臂上的應變相減,對臂上的應變相加。
 全橋應力測量
圖3  全橋應力測量

03半橋應變測量

  在電橋中聯入兩枚應變片,共有兩種聯入方法,分別為鄰邊法和對邊法。根據全橋電壓輸出公式,當為鄰邊法時輸出電壓為:
 
  對邊法輸出電壓為:
 
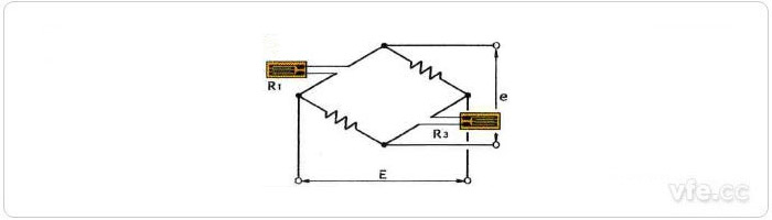
  a、鄰邊法應力測量
 圖4  a、鄰邊法應力測量
 b、對邊法應力測量
圖5  b、對邊法應力測量

溫度補償

  應變片的電阻除因受力引起變形而發生變化外,由于溫度的變化電阻值也會發生改變,這樣即使不施加外力貼在被測定物體上的應變片也會測到應變。為了解決溫度的影響,可以使用動態模擬法和自我溫度補償法消除溫度對應變測量帶來的影響。

01動態模擬法

  動態模擬法是使用兩片應變片聯入橋路的相鄰邊,其中被測物上貼上應變片,在與被測物材質相同的材料上貼上另外一個相同的應變片,并將其置于與被測物相同溫度的環境里,由于溫度引起的應變相同,相鄰兩橋臂溫度引起的輸出電壓為零。

02自我溫度補償法

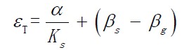
  自我溫度補償法是根據被測物材料的熱膨脹系數的不同來調節應變片敏感柵,在線性膨脹系數為βs 的被測量物平面上粘貼著電阻元素的線性膨脹系數為βg 的應變片,該應變片每上升1℃的外觀應變量εT由以下公式所示:
 
  a:電阻元素電阻溫度系數
  Ks:應變片的應變率
  自動補償溫度型應變片是根據以上公式及被測量物的線性膨脹系數,通過控制應變片電阻元素的電阻溫度系數來確保 接近為零的應變片。
自我溫度補償示意圖
圖6  自我溫度補償示意圖

橋路激勵的選擇

  應變片的激勵電流需要考慮到產生的焦耳熱與散熱的關系,與金屬連接時,最大限度為20mA,常用的激勵電流限度為10mA~15mA。
  電橋激勵電壓的標準為:120?時,2~4V;350?時,5~10V。若被測量物為薄型物體,又是陶瓷、塑料之類散熱性不佳的材料時,可使用更低一點的電橋激勵電壓。

Copyright 2010-2017 www.ayxdmy.com, All Rights Reserved 湖南銀河電氣有限公司 版權所有 湘ICP備09002592號-5
中文字幕在线观看