

隨著現代電力電子技術的高速發展,電壓、電流的調制信號得到更廣泛的應用。面對越來越復雜的電信號,傳統的有功功率測量方法已經難以滿足其測量需求,本文根據有功功率測量基本方法及變頻器應用介紹功率分析儀的有功功率測量原理。

這種有功功率計算公式P=UIcosφ是在正弦電路技術上推導出來的,因此,只適用于正弦電路的有功功率測量。這種測量方式通過有效值測量電路獲取電壓、電流值,通過相位測量電路測量電壓、電流的相位差,再根據正弦電路有功功率計算公式P=UIcosφ計算獲得有功功率。
由于相位測量電路通常采用過零檢測法,而交流電零點附近不可避免會有一定的毛刺,因此,相位測量精度較低。在低功率因數下的功率測量準確度亦較低,必須采用適用于低功率因數工況下的測試儀表才能有效保證有功功率測量準確度。

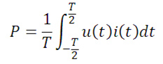
通用有功功率計算定義為一個周期內瞬時功率積分的平均值。采用模擬乘法器獲取電壓、電流的乘積,得到瞬時功率,再用固定的時間對瞬時功率進行積分,即可獲得瞬時功率的平均值,也就是有功功率。該方法適用任意波形電量的有功功率測量。
現今功率分析儀測量的基本原理為通用有功功率算法。功率分析儀的每個測量通道,對輸入的電流或者電壓信號進行采樣,對采樣得到的數據按下列所示公式進行計算獲取結果:



其中u(t)為更新周期內采集的電壓信號數據(瞬時數據),i(t)為更新周期內采集的電流信號數據(瞬時數據),u(t)和i(t)為同一時刻的采樣數據。
比如在變頻器應用,變頻器的主電路一般為“交直交”架構組成,在整流回路中一般接有大電容,輸入電流的波形不是正弦波;在逆變輸出回路中,輸出電壓信號是受PWM載波信號調整的波形,輸入輸出都不是標準的正弦波,含有較多的高次諧波分量,變頻器典型的輸入測波形如下:

對輸入測得有功率,傳統的計算公式為:P=Urms*Irms*cosφ。其中P為有功功率,Urms為電壓有效值,Irms為電流有效值,φ為電壓電流夾角。
但是,變頻器的輸出電量含有高次諧波,很難測量出相位角,功率分析儀采用通用有功功率算法,對測定的整數周期內獲取的瞬時電壓、電流的乘積,再用整數周期對瞬時功率進行積分,即可獲得瞬時功率的平均值,也就是所測的有功功率,如下圖:

上一篇:如何對電機啟動電流進行測試