

三相不平衡度算法有多種,目前并沒有統一的標準,根據不同的算法得出的結果也會有所差異,本文列舉出不同算法的計算方法供大家參考。
三相電壓不平衡度包括三相電壓零序不平衡度和三相電壓負序不平衡度,分別為零序分量與正序分量的比值及負序分量與正序分量的比值。
(1)
(2)
(3)
(4)
(5)
注:
表示三相電壓零序不平衡度,
表示三相電壓負序不平衡度,
分別表示三相電壓的零序分量、正序分量和負序分量。
在三相三線制系統中,沒有零序分量。對于沒有零序分量的三相系統,國標推薦的三相不平衡度的簡化計算方法如下:
(6)
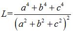
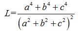
(7)
注:ε2表示三相負序不平衡度,a、b、c分別表示三相電壓或電流的基波分量的有效值。
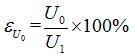
IEEE std 936-1987定義的電壓不平衡度為相電壓不平衡率(PVUR),PVUR等于三相相電壓中的最大方均根電壓與最小方均根電壓的差值與平均相電壓方均根值的比值:
(8)
(9)
注:UA、UB、UC分別為三相相電壓的有效值(不是基波分量有效值,但在電網中,電壓的有效值與基波分量有效值非常接近,實際運算也可用基波有效值替代)。
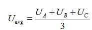
IEEE std 112-1991定義的電壓不平衡度為相電壓不平衡率(PVUR),PVUR等于三相相電壓方均根值與三相相電壓方均根值的平均值之差的最大值與三相相電壓方均根值的平均值的比值:
(10)
(11)
NEMA定義的電壓不平衡度為線電壓不平衡率(LVUR),LVUR的定義與IEEE std 112-1991類似,只不過將相電壓換為線電壓:
(11)
(12)
國際大電網委員會定義的電壓不平衡度為線電壓不平衡率(LVUR),其計算式與國標簡化計算方法相同:
(13)
(14)
因為線電壓必定不包含零序分量,因此,國標的簡化算法與GIGRE算法是完全相符的,實際上都是屬于對稱分量法在不含零序分量時的推導結果,因此,可以看作是國標的特例。