

轉動慣量是指剛體繞軸轉動時慣性(回轉物體保持其勻速圓周運動或靜止的特性)的量度,是衡量電機響應能力和靈活性的指標之一。其量值取決于物體的形狀、質量分布及轉軸的位置。可說是一個物體對于旋轉運動的慣性。轉動慣量在旋轉動力學中的角色相當于線性動力學中的質量,描述角動量、角速度、力矩和角加速度等數個量之間的關系。
變頻電機轉動慣量測定包括懸掛轉子擺動法、空載減速法、輔助擺錘法,本文根據相關電機試驗標準介紹變頻電機這三種轉動慣量測試方法的測試內容。
采用單鋼絲扭轉擺動比較法測定電機轉子的轉動慣量。
選擇密度均勻的金屬制成假轉子,假轉子形狀應為簡單的圓柱體,以便能用式(1)較精確計算出假轉子的轉動慣量。假轉子的質量應能將所選用的鋼絲拉直且鋼絲不變形。把假轉子可靠地懸掛在長度l≥0.5m的鋼絲一端,鋼絲的另一端固定在支架上,鋼絲軸線應與假轉子軸線同心且垂直地面。
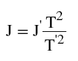
將假轉子繞心軸扭轉一個適當的角度,仔細測量往復擺動次數N及所需時間t(s),求得擺動周期平均值T’(T’=N/t)。被試電機轉子在相同的條件下,重復上述試驗,按上方法求得其擺動周期的平均值T,按式(2)計算被試電機的轉動慣量J。
假轉子的轉動慣量J’(kg*㎡)由式(1)計算:
——(1)
式中:
m——直徑D部分的圓柱體質量,單位為千克(kg);
D——圓柱體直徑,單位為米(m)。
被試電機轉子的轉動慣量J(kg*㎡)按式(2)計算:
——(2)
式中:
T——被試電機轉子的擺動周期平均值,單位為秒(s);
T’——假轉子的擺動周期平均值,單位為秒(s)。
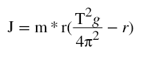
用兩根平行的鋼絲將被試電機轉子懸掛起來,使其轉軸中心線與地面垂直。扭轉轉子使其產生以軸線為中心的擺動。距轉軸中心線的扭角應不大于10°。仔細測取若干次擺動所需的時間,求出擺動周期的平均值T。轉動慣量J(kg*㎡)按式(3)求取:
——(3)
式中:
l——鋼絲的長度,單位為米(m);
m——被試電機轉子的質量,單位為千克(kg);
g——重力加速度,單位為米每二次方秒(m/2^s);
a——兩鋼絲之間的距離,單位為米(m)。
此法用于測定功率為100kW以上上機的轉動慣量。
試驗時,使被試電機的轉速升高并超過同步轉速,然后,切斷電源或脫開驅動機械,在1.1倍~0.9倍同步轉速范圍內,測定轉速變化n(r/nin)所需的時間t(s)。轉動慣量J(kg*㎡)按式(4)計算:
——(4)
此法用于測定具有滾動軸承電機的轉動慣量。
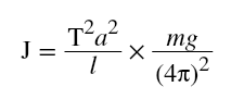
將一個質量已知的輔助擺錘用質量盡可能小的臂桿固定于被試電機轉軸端面中心上,擺錘臂桿應與軸線成直角。當轉軸上帶有皮帶輪或半個聯軸器時,也可用它們固定擺錘。
試驗時,擺錘的初始位置與靜止位置的偏移應不大于15°,在開始擺動后,測量2~3次擺動所需的時間,求出擺動周期的平均值。以擺錘通過靜止位置的瞬間作為測量擺動周期的起始點。轉動慣量J(kg*㎡)按式(5)計算:
——(5)
式中:
m——輔助擺錘的質量,單位為千克(kg);
r——輔助擺錘的重心到轉軸中心線的距離,單位為米(m);
T——輔助擺錘擺動周期的平均值,單位為秒(s)。
對功率為10kw~1000kW的電機,選用輔助擺錘時,應使擺動周期3s~8s。為了校核,建議在擺錘質量略有不同的情況下重復進行測定。