

有源模擬電阻器是一種標準電阻,常用于一些電阻檢定或其他相關參量的檢試驗中。下面本文主要根據電阻檢定規程內容介紹有源電阻模擬器的分類及檢定操作中的工作原理。
有源模擬電阻器可分為電流型有源模擬電阻器和電壓型有源模擬電阻器。
電流型有源模擬電阻器的檢定原理框圖參照圖1所示。

圖1:采用電流型有源模擬電阻器的檢定原理框圖
電流型有源模擬電阻器是將被檢測試儀產生的大電流I1通過電流轉換裝置按一定的比例轉換成小電流I2,然后加在無源標準電阻器上,從而降低了對無源標準電阻器的功率要求。通過改變電流轉換裝置的變比或無源標準電阻器的阻值,即可調節檢定時檢定點的電阻值。
在標準電阻器上的電流I2見下式

式中:
K——電流轉換裝置的變比。
在標準電阻器上產生的電壓U2見下式

式中:
R——標準電阻器的阻值。
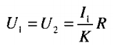
電壓U2也是加在被檢測試電壓端鈕上的電壓,所以

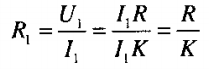
因此,被檢測試儀所測的實際等效電阻值R1見下式

由此可見,檢定時,只需調節電流轉換裝置的變比(或標準電阻器的阻值),就可以得到不同阻值的檢定點。
電壓型有源模擬電阻器的原理框圖參見圖2所示。

圖2:采用電壓型有源模擬電阻器的檢定原理框圖
電壓型有源模擬電阻器是將無源標準電阻器電壓端鈕的電壓U2通過電壓轉換裝置按一定的比例轉換成U3,然后加在被檢測試儀的電壓端鈕。通過改變電壓轉換裝置的變比或無源標準電阻器的阻值,即可調節檢定時檢定點的電阻值。
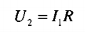
設加在標準電阻器上的電流為I1,因此在標準電阻器電壓端鈕上產生的電壓U2見下式

當電壓變換裝置的變比為K時,則電壓變換裝置的輸出電壓U3見下式

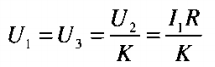
U3也是加在被檢測試儀電壓端鈕上的電壓,所以有

被檢測試儀所測的實際等效電阻值R1見下式

由此可見,檢定時,只需調節電壓轉換裝置的變比K(或標準電阻器的阻值),就可得不同阻值的檢定點。
上一篇:水泵流量測量方法簡介
下一篇:有載分接開關測試儀檢測簡介