

對稱三相電路是指三相電路中,三相電源對稱、三相負載對稱、三個線路復阻抗對稱的三相電路。三相電源對稱是指構成電源的三個電壓源幅值相同、頻率相同、相位互差1200。在電機測試之中,使用的電源基本上都是三相對稱的,并且如果沒有特別說明,三相電源都是正序的,當電源是正序時,各相之間電壓向量關系如圖1所示:
(1)

圖1 正序電壓向量圖
在星形連接的三相電源或者三相負載中,連接示意圖如圖2所示:

圖2 星形連接及電壓向量圖
根據公式(1)可得:
(2)
根據基爾霍夫電流定律可知,對于星形連接,線電流等于相電流。
即對于星形連接的三相電源或三相負載,線電流和相電流是同一電流;線電壓是相電壓的
倍,且線電壓超前于相應的相電壓300。
三角形連接示意圖如圖3所示:

圖3 三角形連接及電流向量示意圖
根據基爾霍夫電壓定律可知,對于三角形連接其線電壓等于相電壓,并且仍然滿足正序的關系,即:
(3)
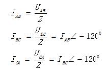
根據圖3可知:
(4)
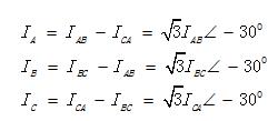
根據基爾霍夫電流定律可得:
(5)
即對于三角形連接的三相電源或三相負載,線電壓和相電壓為同一電壓;線電流是相電流的 倍,且線電流滯后于相應的相電流300。
根據上面的分析可知,對稱三相電路的線電壓、線電流、相電壓、相電流都滿足正序的關系,唯一不同的地方在于電源或者負載的連接方式不同,線電壓與相電壓、線電流和相電流之間的關系不同,具體的關系參見公式(2)和公式(5)。
上一篇:計量領域的“十大計量”簡介
下一篇:風機水泵軸功率與配置電機功率簡介