

1962年約瑟夫森曾經預言,當庫珀電子對從一個超導體穿過一層極薄的絕緣體到另一個超導體時,將會有如下現象發生:
(1)超導電流穿過絕緣體時不會有電壓降,產生這一現象時所能流過的最大電流稱為臨界電流;
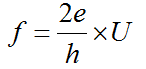
(2)在限定的電壓范圍內,除了有正常的傳導電流外,還有交流超導電流存在并使絕緣層兩端產生電壓降,AC電流的頻率f 與絕緣層兩端的電壓U 正比。
其中,e為電子電荷;h為普朗克常量。
以上預言很快為以后的實驗所證實。(1)稱為直流約瑟夫森效應;(2)稱為交流約瑟夫森效應。其中交流約瑟夫森效應成為建立現代量子電壓自然基準的基礎。
當直流電流通過超導隧道結時,只要電流值低于某一臨界電流Ic,則與一塊超導體相似,結上不存在任何電壓,即流過結的是超導電流。但一旦超過臨界電流值,結上即出現一個有限的電壓,結的性狀過渡到正常電子的隧道特性。這種超導隧道結能夠承載直流超導電流的現象,稱為直流約瑟夫森效應。
如果在超導結的結區兩端加上一直流電壓V(當然,這時電流大于臨界電流),在結區就出現高頻的超導正弦波電流,其頻率與所施加的直流電壓成正比,有如下關系式
比例常數2e/h=483.6×106Hz/μV。
這時,結區以同樣的頻率(若所加電壓是幾微伏,則在微波區域;若為幾毫伏,則在遠紅外波段)向外輻射電磁波。超導隧道結這種能在直流電壓作用下,產生超導交流電流,從而能輻射電磁波的特性,稱為交流約瑟夫森效應。