

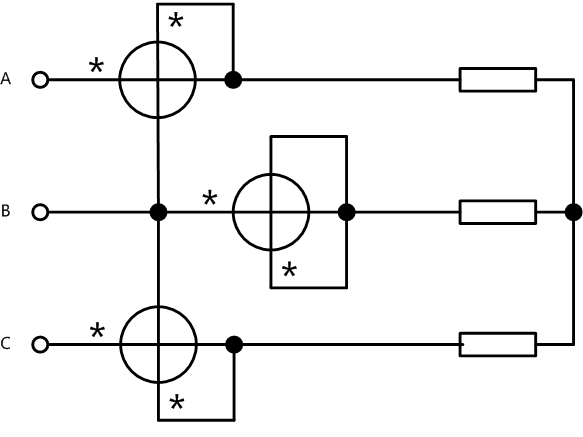
WP4000變頻功率分析儀的2V3A線路圖采用兩表法法測量三相功率。2V3A是指實際測量兩路電壓和三路電流。WP4000變頻功率分析儀的2V3A接線原理圖如下:
圖. WP4000變頻功率分析儀的2V3A接線原理圖
上圖中,連接在A相和C相的兩個變頻功率傳感器相當于兩個單相有功功率表,構成兩表法測功電路。連接在B相的變頻功率傳感器的電壓測試線互相短接,僅僅電流測量通道其作用,用于測量B相電流。
WP4000變頻功率分析儀的2V3A線路圖適用于三相三線制。就兩表法而言,只需要實測兩路電壓和兩路電流,亦可采用2V2A線路圖。
WP4000變頻功率分析儀的2V2A測試中,依據基爾霍夫電流定律,可以準確運算出第三相電壓和第三相電流。2V3A接線圖在2V2A基礎上增加了一路實測電流,主要適用于基爾霍夫電流定律不適用的三相三線制回路。
2V3A線路圖的典型應用案例是:
在變頻器供電的電機試驗測試中,即便采用三相三線制,由于變頻器輸出包含高次諧波,而繞組對地、或對機殼、或對其它繞組之間存在分布電容,高次諧波會通過分布電容另外形成泄露電流,基爾霍夫電流定律不再適用。依據基爾霍夫電流定律運算的第三相電流可能會存在較大的誤差。但是,三相三線制中又不宜采用三表法測量功率,因此,才有上述2V3A這樣的變通測量方案。